🇳🇴 🇬🇧 🇩🇪 🇨🇿 🇫🇮

Meteor over Risør 2025-11-16 04:52:31 UTC

KML-fil

Kartet viser peilingene for meteoren. De lysere linjene viser retningene fra observasjonsstedene for meteorens tilsynekomst, og de mørkere linjene viser hvor den sist kunne sees. Den blå pila viser meteorens synlige ferd.

static map
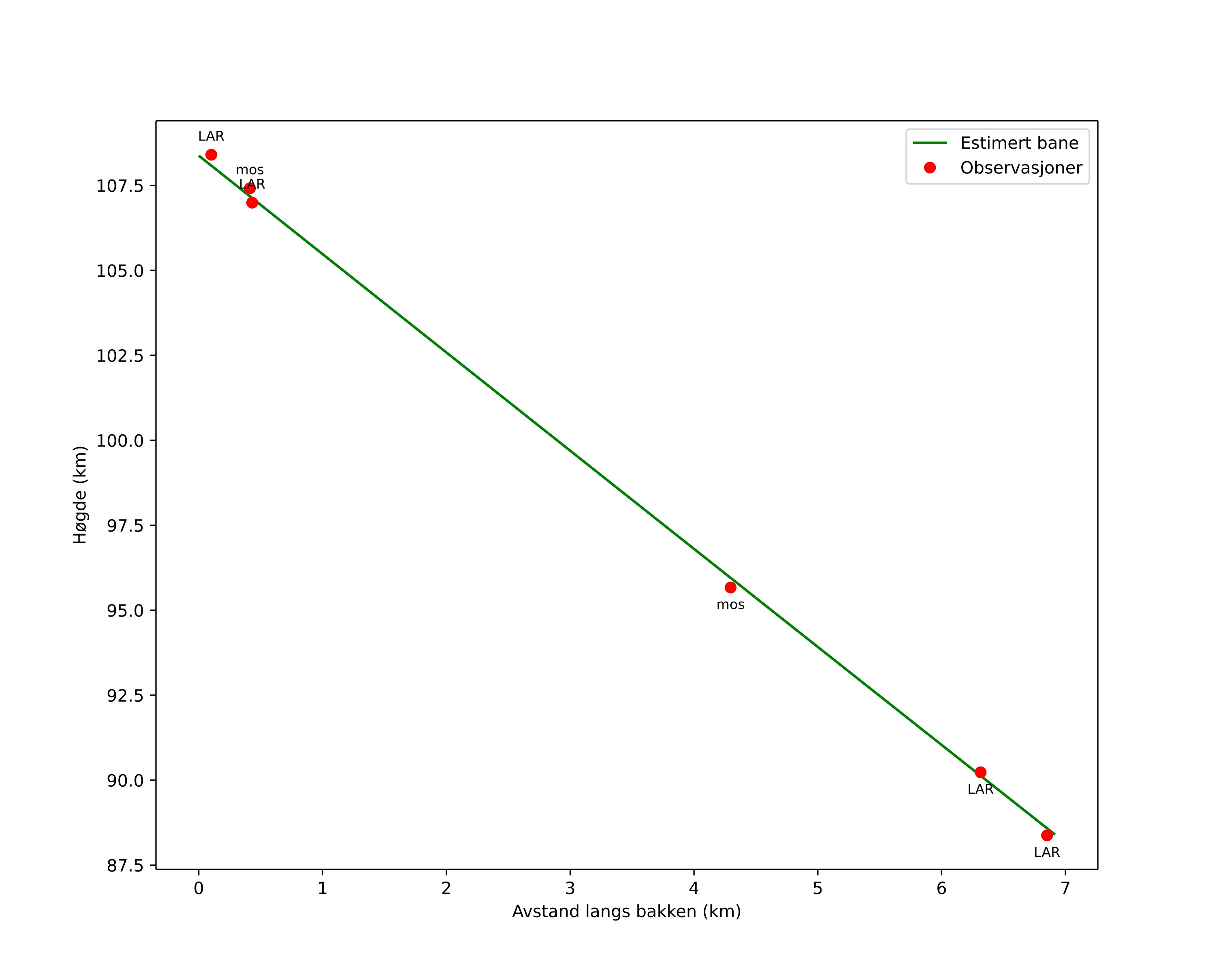
height profile
wind profile
Meteorens atmosfæriske bane:
Starthøgde: 108,4 km
Slutthøgde: 88,4 km
Startposisjon: 58,120N 9,443E
Sluttposisjon: 58,180N 9,416E
Retning: 346,6°
Fallvinkel: 70,9°
Inngangshastighet: 74,8 km/s
Radiantens rektascensjon: 09:32 (143,0°)
Radiantens deklinasjon: 39,3°
Meteorsverm: sporadisk
Meteoroidens baneelement:
Perihelavstand: 0,924 AU
Eksentrisitet: 1,610
Inklinasjon: 141,3°
Knutelengde: 233,7°
Perihelargument: 206,6°
Midlere anomali: -8,2°
Epoke: 2025 NOV 16 04:52:31
orbit plot

Ikke-interaktivt plott

position vs time
speed and acceleration

Larvik (LAR) cam4


gnomonic
Videoer
• Gnomonisk
• Gnomonisk med koordinater
• Original
• Original (HEVC)
• Original med koordinater
Bilder
• Gnomonisk
• Gnomonisk med koordinater
• Original
• Original med koordinater
Tekstfiler
• Deteksjon
• Observasjon
• Koordinater
• Logg
Lysstyrke

Larvik (LAR) cam7


gnomonic
Videoer
• Gnomonisk
• Gnomonisk med koordinater
• Original
• Original (HEVC)
• Original med koordinater
Bilder
• Gnomonisk
• Gnomonisk med koordinater
• Original
• Original med koordinater
Tekstfiler
• Deteksjon
• Observasjon
• Koordinater
• Logg
Lysstyrke

Moss (mos) cam7


gnomonic
Videoer
• Gnomonisk
• Gnomonisk med koordinater
• Original
• Original (HEVC)
• Original med koordinater
Bilder
• Gnomonisk
• Gnomonisk med koordinater
• Original
• Original med koordinater
Tekstfiler
• Deteksjon
• Observasjon
• Koordinater
• Logg
Lysstyrke