🇳🇴 🇬🇧 🇩🇪 🇨🇿 🇫🇮

Meteor, poloha: Hol 2025-11-16 05:42:28 UTC

Soubor KML  |  InteraktivnĂ­ mapa

Mapa zobrazuje dráhy meteoru. Světlejší čáry ukazují směry od pozorovacích stanic při objevení se meteoru a tmavší čáry, kde byl naposledy viděn. Modrá šipka značí viditelnou dráhu meteoru.

static map
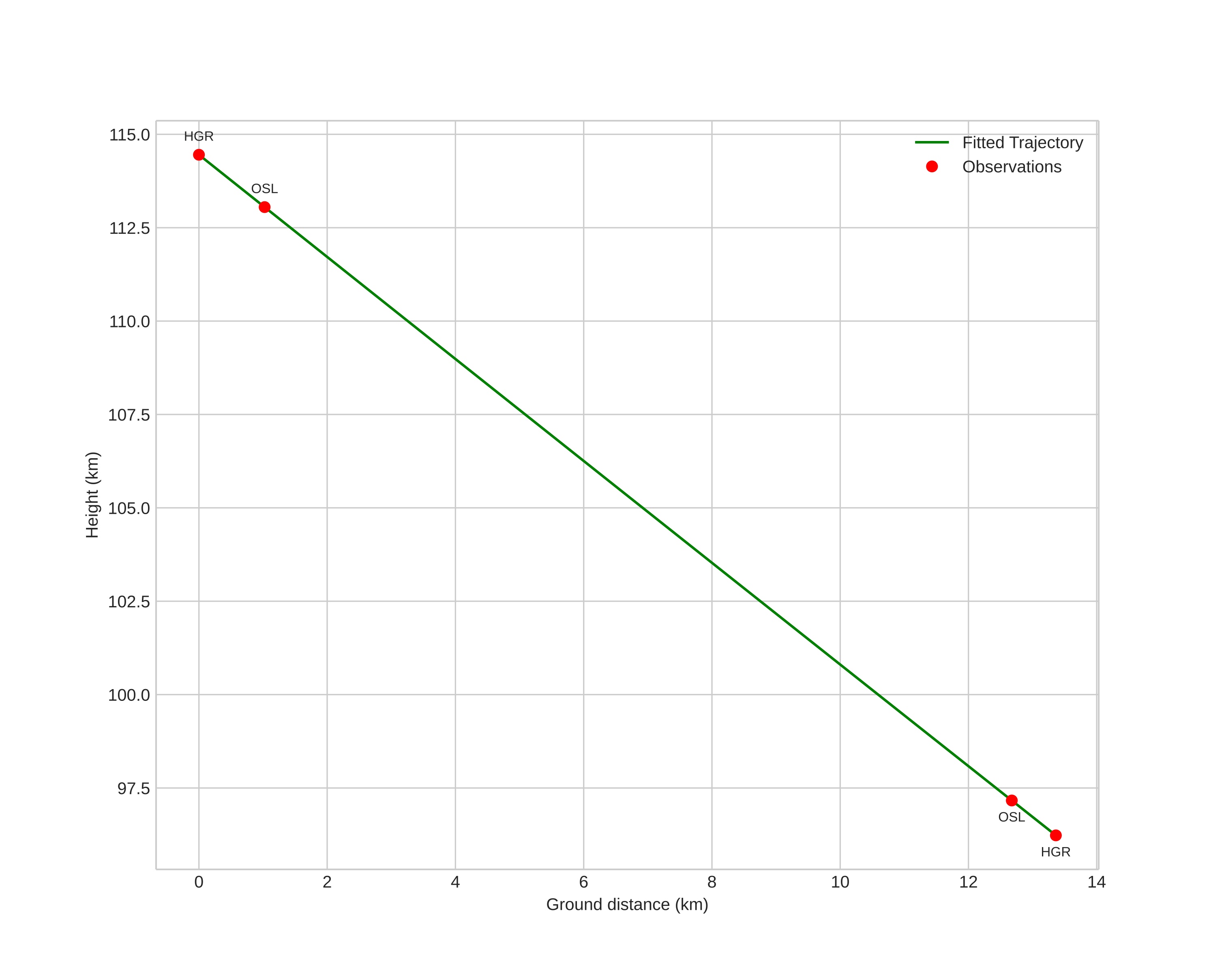
height profile
Atmosférická dráha meteoru:
Počáteční výška: 114,9 km
Konečná výška: 95,7 km
Počáteční poloha: 60,552N 8,367E
Konečná poloha: 60,683N 8,334E
Směr: 352,8°
Sklon: 52,5°
VstupnĂ­ rychlost: 73,0 km/s
Rektascenze radiantu: 10:14 (153,7°)
Deklinace radiantu: 23,0°
MeteorickĂ˝ roj: Leonidy
Elementy dráhy meteoroidu:
Vzdálenost v periheliu: 0,981 AU
Excentricita: 1,068
Sklon dráhy: 160,7°
Délka vzestupného uzlu: 233,8°
Argument perihelia: 169,9°
Střední anomálie: 0,1°
Epocha: 2025 NOV 16 05:42:28
orbit plot

NeinteraktivnĂ­ graf | InteraktivnĂ­ graf

position vs time
speed and acceleration

Hagar (HGR) cam1


gnomonic
Videa
• Gnomonická
• Gnomonická se souřadnicemi
• Původní
• Původní se souřadnicemi
Obrázky
• Gnomonická
• Gnomonická se souřadnicemi
• Původní
• Původní se souřadnicemi
Textové soubory
• Detekce
• Pozorování
• Souřadnice
• Protokol
Jasnost

Voksenlia (OSL) cam2


gnomonic
Videa
• Gnomonická
• Gnomonická se souřadnicemi
• Původní
• Původní se souřadnicemi
Obrázky
• Gnomonická
• Gnomonická se souřadnicemi
• Původní
• Původní se souřadnicemi
Textové soubory
• Detekce
• Pozorování
• Souřadnice
• Protokol
Jasnost