🇳🇴 🇬🇧 🇩🇪 🇨🇿 🇫🇮

Meteor over Hol 2025-11-16 05:42:28 UTC

KML-fil  |  Interaktivt kart

Kartet viser peilingene for meteoren. De lysere linjene viser retningene fra observasjonsstedene for meteorens tilsynekomst, og de mørkere linjene viser hvor den sist kunne sees. Den blå pila viser meteorens synlige ferd.

static map
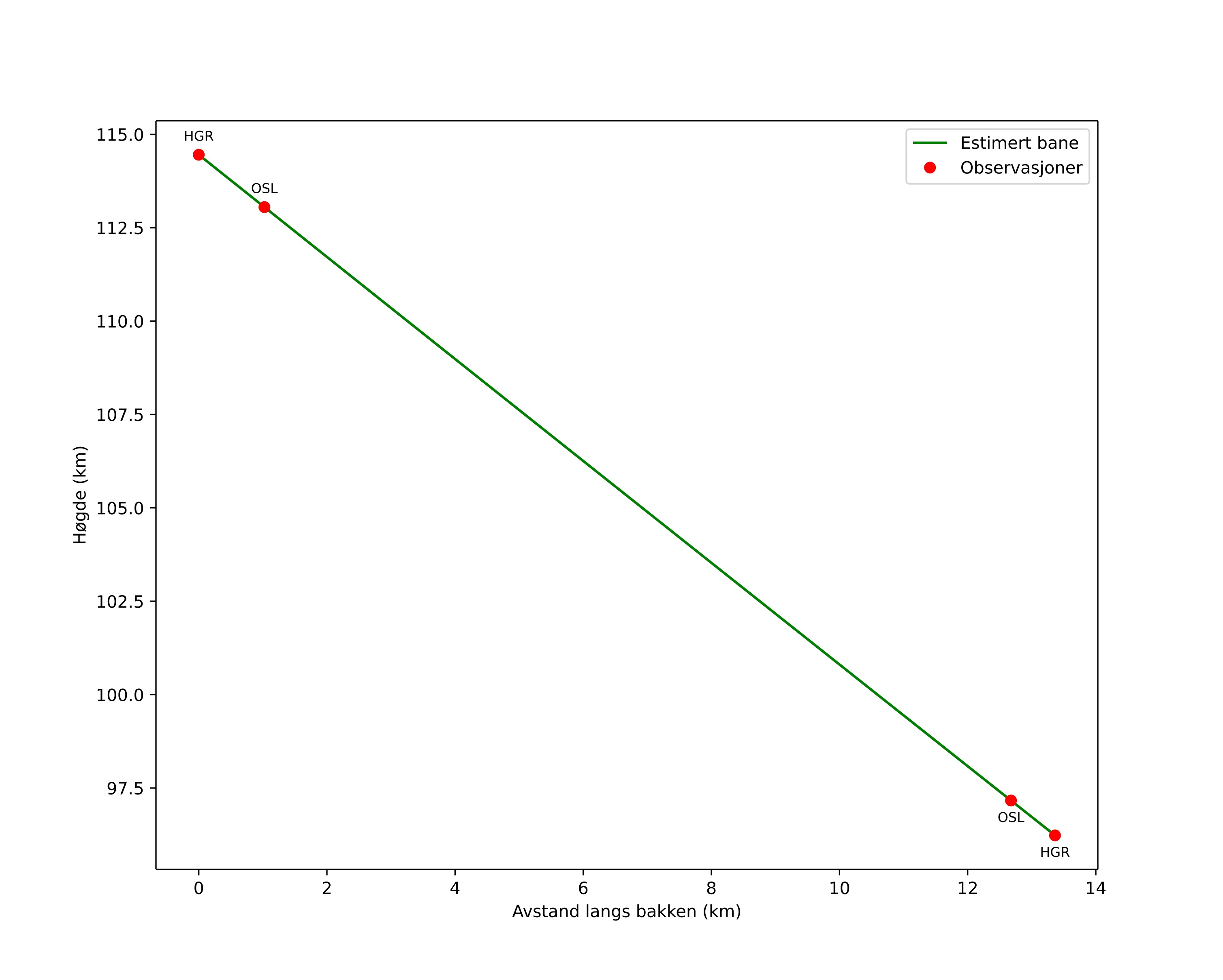
height profile
Meteorens atmosfæriske bane:
Starthøgde: 114,9 km
Slutthøgde: 95,7 km
Startposisjon: 60,552N 8,367E
Sluttposisjon: 60,683N 8,334E
Retning: 352,8°
Fallvinkel: 52,5°
Inngangshastighet: 73,0 km/s
Radiantens rektascensjon: 10:14 (153,7°)
Radiantens deklinasjon: 23,0°
Meteorsverm: Leonidene
Meteoroidens baneelement:
Perihelavstand: 0,981 AU
Eksentrisitet: 1,068
Inklinasjon: 160,7°
Knutelengde: 233,8°
Perihelargument: 169,9°
Midlere anomali: 0,1°
Epoke: 2025 NOV 16 05:42:28
orbit plot

Ikke-interaktivt plott | Interaktivt plott

position vs time
speed and acceleration

Hagar (HGR) cam1


gnomonic
Videoer
• Gnomonisk
• Gnomonisk med koordinater
• Original
• Original med koordinater
Bilder
• Gnomonisk
• Gnomonisk med koordinater
• Original
• Original med koordinater
Tekstfiler
• Deteksjon
• Observasjon
• Koordinater
• Logg
Lysstyrke

Voksenlia (OSL) cam2


gnomonic
Videoer
• Gnomonisk
• Gnomonisk med koordinater
• Original
• Original med koordinater
Bilder
• Gnomonisk
• Gnomonisk med koordinater
• Original
• Original med koordinater
Tekstfiler
• Deteksjon
• Observasjon
• Koordinater
• Logg
Lysstyrke