🇳🇴 🇬🇧 🇩🇪 🇨🇿 🇫🇮

Meteor over Langesund 2025-11-16 18:41:36 UTC

KML-fil  |  Interaktivt kart

Kartet viser peilingene for meteoren. De lysere linjene viser retningene fra observasjonsstedene for meteorens tilsynekomst, og de mørkere linjene viser hvor den sist kunne sees. Den blå pila viser meteorens synlige ferd.

static map
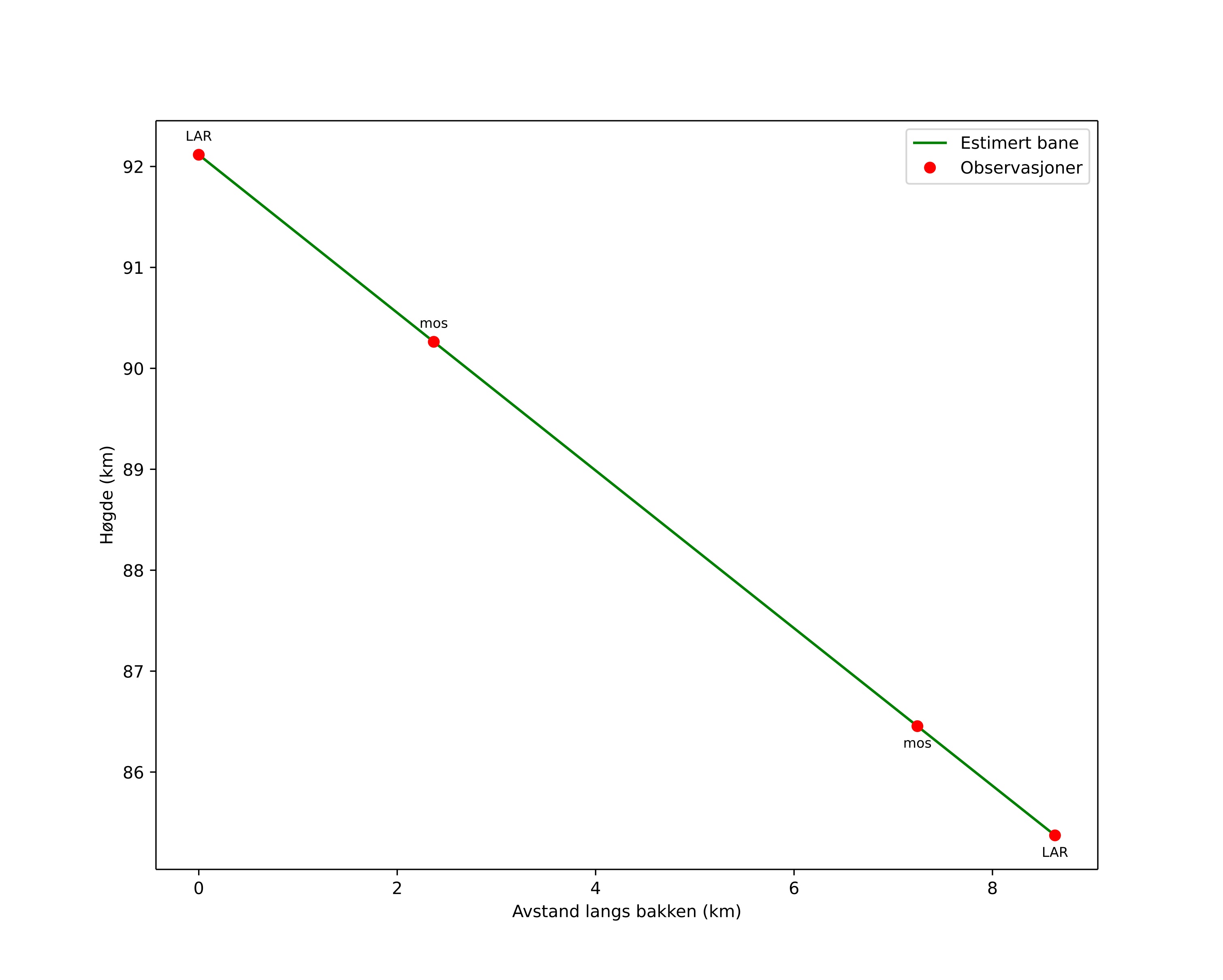
height profile
Meteorens atmosfæriske bane:
Starthøgde: 92,9 km
Slutthøgde: 85,2 km
Startposisjon: 58,791N 9,684E
Sluttposisjon: 58,766N 9,836E
Retning: 107,4°
Fallvinkel: 39,9°
Inngangshastighet: 21,8 km/s
Radiantens rektascensjon: 17:32 (263,0°)
Radiantens deklinasjon: 38,4°
Meteorsverm: sporadisk
Meteoroidens baneelement:
Perihelavstand: 0,937 AU
Eksentrisitet: 0,672
Inklinasjon: 26,3°
Knutelengde: 234,3°
Perihelargument: 150,5°
Midlere anomali: 4,4°
Epoke: 2025 NOV 16 18:41:36
orbit plot

Ikke-interaktivt plott | Interaktivt plott

position vs time
speed and acceleration

Larvik (LAR) cam7


gnomonic
Videoer
• Gnomonisk
• Gnomonisk med koordinater
• Original
• Original med koordinater
Bilder
• Gnomonisk
• Gnomonisk med koordinater
• Original
• Original med koordinater
Tekstfiler
• Deteksjon
• Observasjon
• Koordinater
• Logg
Lysstyrke

Moss (mos) cam7


gnomonic
Videoer
• Gnomonisk
• Gnomonisk med koordinater
• Original
• Original med koordinater
Bilder
• Gnomonisk
• Gnomonisk med koordinater
• Original
• Original med koordinater
Tekstfiler
• Deteksjon
• Observasjon
• Koordinater
• Logg
Lysstyrke