🇳🇴 🇬🇧 🇩🇪 🇨🇿 🇫🇮

Meteor over Innbygda 2025-11-16 19:13:06 UTC

KML-fil  |  Interaktivt kart

Kartet viser peilingene for meteoren. De lysere linjene viser retningene fra observasjonsstedene for meteorens tilsynekomst, og de mørkere linjene viser hvor den sist kunne sees. Den blå pila viser meteorens synlige ferd.

static map
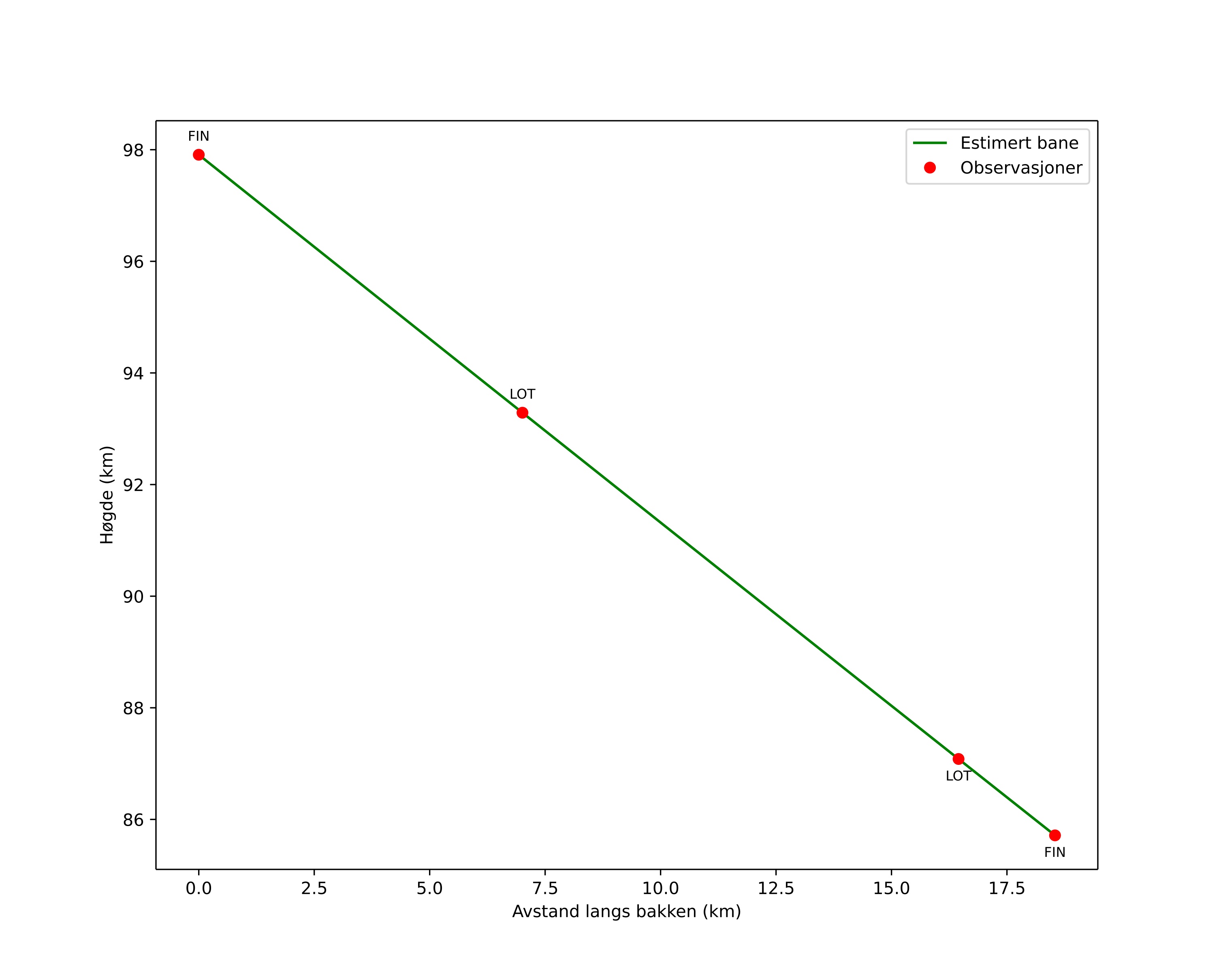
height profile
Meteorens atmosfæriske bane:
Starthøgde: 98,0 km
Slutthøgde: 85,5 km
Startposisjon: 61,190N 12,572E
Sluttposisjon: 61,214N 12,230E
Retning: 278,4°
Fallvinkel: 34,0°
Inngangshastighet: 30,5 km/s
Radiantens rektascensjon: 04:11 (62,9°)
Radiantens deklinasjon: 23,8°
Meteorsverm: Nordlige tauridene
Meteoroidens baneelement:
Perihelavstand: 0,369 AU
Eksentrisitet: 0,837
Inklinasjon: 3,0°
Knutelengde: 234,3°
Perihelargument: 292,2°
Midlere anomali: 347,7°
Epoke: 2025 NOV 16 19:13:06
orbit plot

Ikke-interaktivt plott | Interaktivt plott

position vs time
speed and acceleration

Finnskogen (FIN) cam6


gnomonic
Videoer
• Gnomonisk
• Gnomonisk med koordinater
• Original
• Original med koordinater
Bilder
• Gnomonisk
• Gnomonisk med koordinater
• Original
• Original med koordinater
Tekstfiler
• Deteksjon
• Observasjon
• Koordinater
• Logg
Lysstyrke

Loten (LOT) cam6


gnomonic
Videoer
• Gnomonisk
• Gnomonisk med koordinater
• Original
• Original med koordinater
Bilder
• Gnomonisk
• Gnomonisk med koordinater
• Original
• Original med koordinater
Tekstfiler
• Deteksjon
• Observasjon
• Koordinater
• Logg
Lysstyrke