🇳🇴 🇬🇧 🇩🇪 🇨🇿 🇫🇮

Meteor, poloha: Flisa 2025-11-17 00:51:33 UTC

Soubor KML  |  Interaktivní mapa

Mapa zobrazuje dráhy meteoru. Světlejší čáry ukazují směry od pozorovacích stanic při objevení se meteoru a tmavší čáry, kde byl naposledy viděn. Modrá šipka značí viditelnou dráhu meteoru.

static map
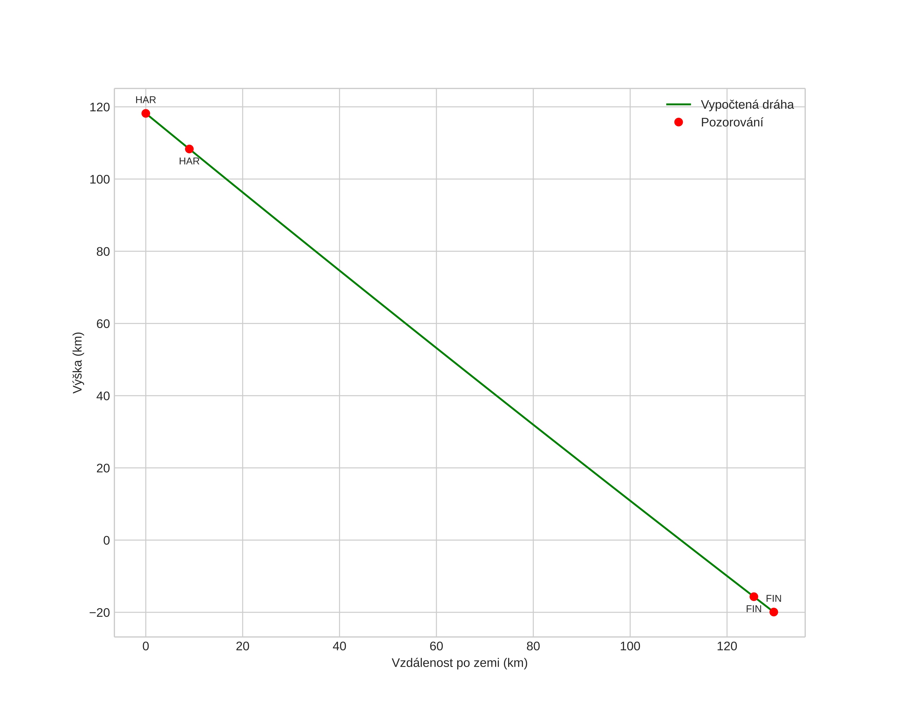
height profile
Atmosférická dráha meteoru:
Počáteční výška: 126,2 km
Konečná výška: -21,0 km
Počáteční poloha: 59,481N 11,308E
Konečná poloha: 60,621N 12,282E
Směr: 22,7°
Sklon: 46,9°
position vs time
speed and acceleration