🇳🇴 🇬🇧 🇩🇪 🇨🇿 🇫🇮

Meteor over Rødberg 2025-11-17 01:26:27 UTC

KML-fil  |  Interaktivt kart

Kartet viser peilingene for meteoren. De lysere linjene viser retningene fra observasjonsstedene for meteorens tilsynekomst, og de mørkere linjene viser hvor den sist kunne sees. Den blå pila viser meteorens synlige ferd.

static map
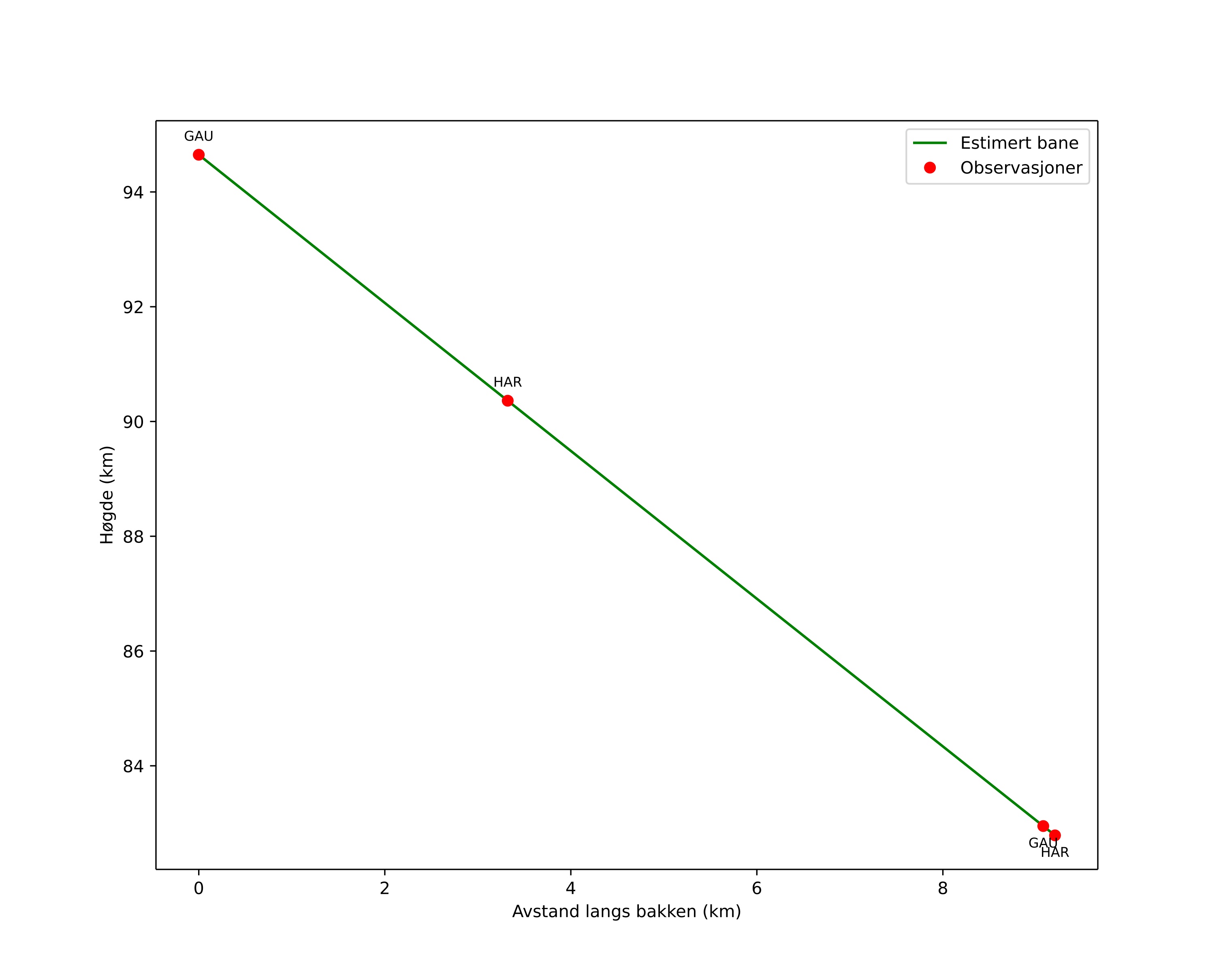
height profile
Meteorens atmosfæriske bane:
Starthøgde: 95,5 km
Slutthøgde: 82,5 km
Startposisjon: 60,211N 9,091E
Sluttposisjon: 60,289N 9,183E
Retning: 30,1°
Fallvinkel: 52,3°
Inngangshastighet: 34,1 km/s
Radiantens rektascensjon: 04:24 (66,1°)
Radiantens deklinasjon: 23,8°
Meteorsverm: Nordlige tauridene
Meteoroidens baneelement:
Perihelavstand: 0,294 AU
Eksentrisitet: 0,908
Inklinasjon: 3,1°
Knutelengde: 234,5°
Perihelargument: 298,5°
Midlere anomali: 353,3°
Epoke: 2025 NOV 17 01:26:27
orbit plot

Ikke-interaktivt plott | Interaktivt plott

position vs time
speed and acceleration

Gaustatoppen (GAU) cam6


gnomonic
Videoer
• Gnomonisk
• Gnomonisk med koordinater
• Original
• Original med koordinater
Bilder
• Gnomonisk
• Gnomonisk med koordinater
• Original
• Original med koordinater
Tekstfiler
• Deteksjon
• Observasjon
• Koordinater
• Logg
Lysstyrke

Harestua (HAR) cam5


gnomonic
Videoer
• Gnomonisk
• Gnomonisk med koordinater
• Original
• Original med koordinater
Bilder
• Gnomonisk
• Gnomonisk med koordinater
• Original
• Original med koordinater
Tekstfiler
• Deteksjon
• Observasjon
• Koordinater
• Logg
Lysstyrke