🇳🇴 🇬🇧 🇩🇪 🇨🇿 🇫🇮

Meteor over Vi 2025-11-17 02:41:09 UTC

KML-fil

Kartet viser peilingene for meteoren. De lysere linjene viser retningene fra observasjonsstedene for meteorens tilsynekomst, og de mørkere linjene viser hvor den sist kunne sees. Den blå pila viser meteorens synlige ferd.

static map
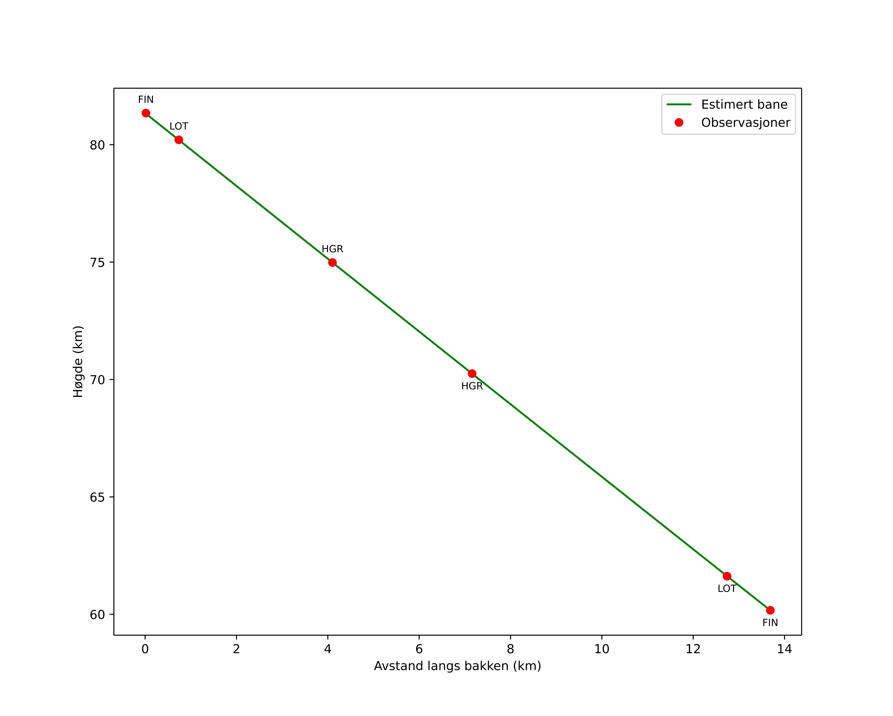
height profile
Meteorens atmosfæriske bane:
Starthøgde: 81,3 km
Slutthøgde: 60,2 km
Startposisjon: 62,475N 17,697E
Sluttposisjon: 62,429N 17,451E
Retning: 248,0°
Fallvinkel: 57,0°
Inngangshastighet: 35,7 km/s
Radiantens rektascensjon: 12:10 (182,5°)
Radiantens deklinasjon: 56,8°
Meteorsverm: sporadisk
Meteoroidens baneelement:
Perihelavstand: 0,739 AU
Eksentrisitet: 0,150
Inklinasjon: 71,2°
Knutelengde: 234,6°
Perihelargument: 21,5°
Midlere anomali: 151,5°
Epoke: 2025 NOV 17 02:41:09
orbit plot

Ikke-interaktivt plott

position vs time
speed and acceleration

Finnskogen (FIN) cam2


gnomonic
Videoer
• Gnomonisk
• Gnomonisk med koordinater
• Original
• Original (HEVC)
• Original med koordinater
Bilder
• Gnomonisk
• Gnomonisk med koordinater
• Original
• Original med koordinater
Tekstfiler
• Deteksjon
• Observasjon
• Koordinater
• Logg
Lysstyrke

Hagar (HGR) cam3


gnomonic
Videoer
• Gnomonisk
• Gnomonisk med koordinater
• Original
• Original (HEVC)
• Original med koordinater
Bilder
• Gnomonisk
• Gnomonisk med koordinater
• Original
• Original med koordinater
Tekstfiler
• Deteksjon
• Observasjon
• Koordinater
• Logg
Lysstyrke

Loten (LOT) cam2


gnomonic
Videoer
• Gnomonisk
• Gnomonisk med koordinater
• Original
• Original (HEVC)
• Original med koordinater
Bilder
• Gnomonisk
• Gnomonisk med koordinater
• Original
• Original med koordinater
Tekstfiler
• Deteksjon
• Observasjon
• Koordinater
• Logg
Lysstyrke