🇳🇴 🇬🇧 🇩🇪 🇨🇿 🇫🇮

Meteor over Seljord 2025-11-17 02:50:53 UTC

KML-fil  |  Interaktivt kart

Kartet viser peilingene for meteoren. De lysere linjene viser retningene fra observasjonsstedene for meteorens tilsynekomst, og de mørkere linjene viser hvor den sist kunne sees. Den blå pila viser meteorens synlige ferd.

static map
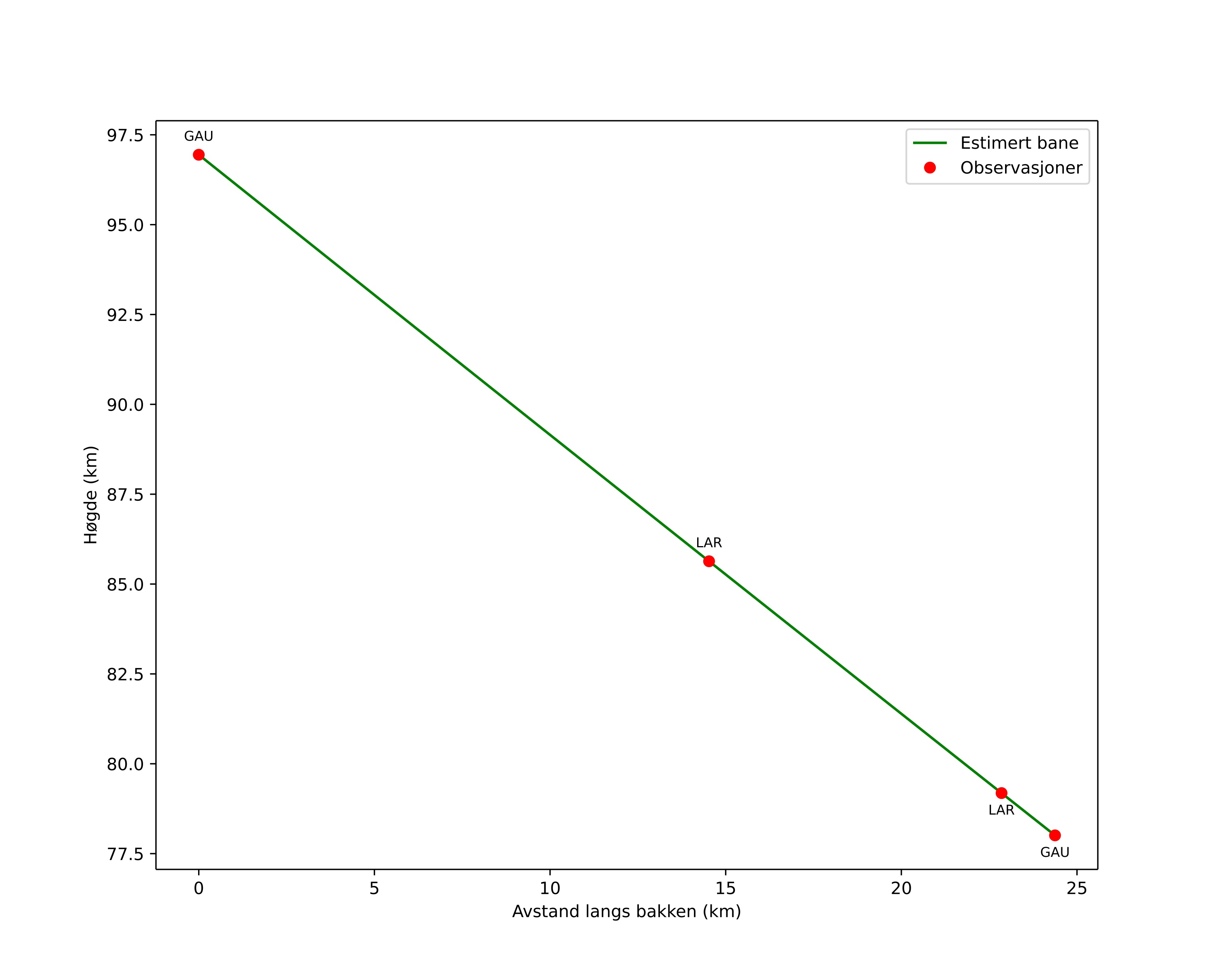
height profile
Meteorens atmosfæriske bane:
Starthøgde: 98,8 km
Slutthøgde: 78,1 km
Startposisjon: 59,245N 8,306E
Sluttposisjon: 59,376N 8,697E
Retning: 56,6°
Fallvinkel: 37,9°
Inngangshastighet: 27,2 km/s
Radiantens rektascensjon: 04:07 (61,8°)
Radiantens deklinasjon: 15,3°
Meteorsverm: Sørlige tauridene
Meteoroidens baneelement:
Perihelavstand: 0,444 AU
Eksentrisitet: 0,774
Inklinasjon: 5,2°
Knutelengde: 54,7°
Perihelargument: 105,2°
Midlere anomali: 343,9°
Epoke: 2025 NOV 17 02:50:53
orbit plot

Ikke-interaktivt plott | Interaktivt plott

position vs time
speed and acceleration

Gaustatoppen (GAU) cam7


gnomonic
Videoer
• Gnomonisk
• Gnomonisk med koordinater
• Original
• Original med koordinater
Bilder
• Gnomonisk
• Gnomonisk med koordinater
• Original
• Original med koordinater
Tekstfiler
• Deteksjon
• Observasjon
• Koordinater
• Logg
Lysstyrke

Larvik (LAR) cam6


gnomonic
Videoer
• Gnomonisk
• Gnomonisk med koordinater
• Original
• Original med koordinater
Bilder
• Gnomonisk
• Gnomonisk med koordinater
• Original
• Original med koordinater
Tekstfiler
• Deteksjon
• Observasjon
• Koordinater
• Logg
Lysstyrke