🇳🇴 🇬🇧 🇩🇪 🇨🇿 🇫🇮

Meteor, poloha: Seljord 2025-11-17 02:50:53 UTC

Soubor KML  |  Interaktivní mapa

Mapa zobrazuje dráhy meteoru. Světlejší čáry ukazují směry od pozorovacích stanic při objevení se meteoru a tmavší čáry, kde byl naposledy viděn. Modrá šipka značí viditelnou dráhu meteoru.

static map
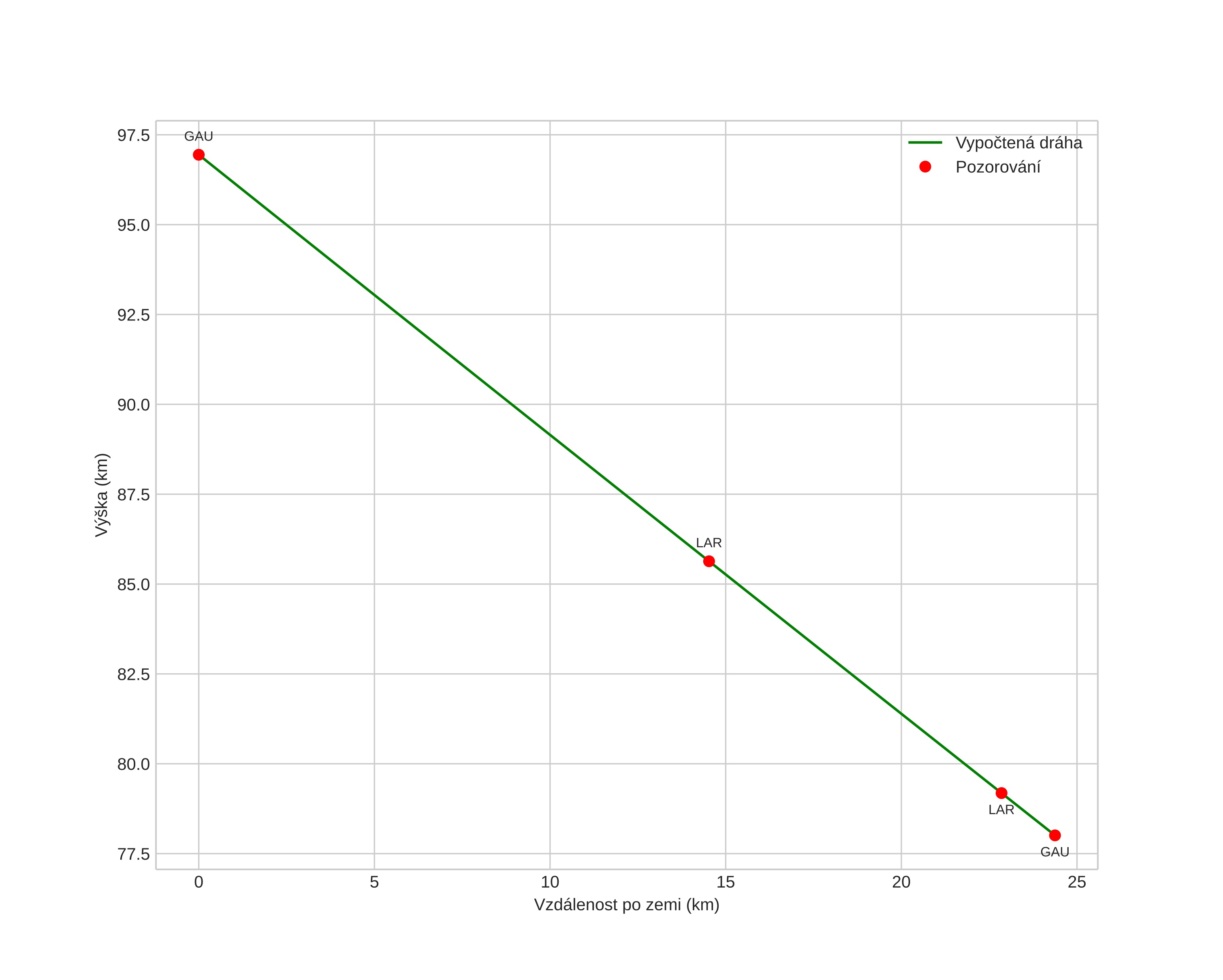
height profile
Atmosférická dráha meteoru:
Počáteční výška: 98,8 km
Konečná výška: 78,1 km
Počáteční poloha: 59,245N 8,306E
Konečná poloha: 59,376N 8,697E
Směr: 56,6°
Sklon: 37,9°
Vstupní rychlost: 27,2 km/s
Rektascenze radiantu: 04:07 (61,8°)
Deklinace radiantu: 15,3°
Meteorický roj: Jižní Tauridy
Elementy dráhy meteoroidu:
Vzdálenost v periheliu: 0,444 AU
Excentricita: 0,774
Sklon dráhy: 5,2°
Délka vzestupného uzlu: 54,7°
Argument perihelia: 105,2°
Střední anomálie: 343,9°
Epocha: 2025 NOV 17 02:50:53
orbit plot

Neinteraktivní graf | Interaktivní graf

position vs time
speed and acceleration