🇳🇴 🇬🇧 🇩🇪 🇨🇿 🇫🇮

Meteor over Otta 2025-11-17 02:58:05 UTC

KML-fil  |  Interaktivt kart

Kartet viser peilingene for meteoren. De lysere linjene viser retningene fra observasjonsstedene for meteorens tilsynekomst, og de mørkere linjene viser hvor den sist kunne sees. Den blå pila viser meteorens synlige ferd.

static map
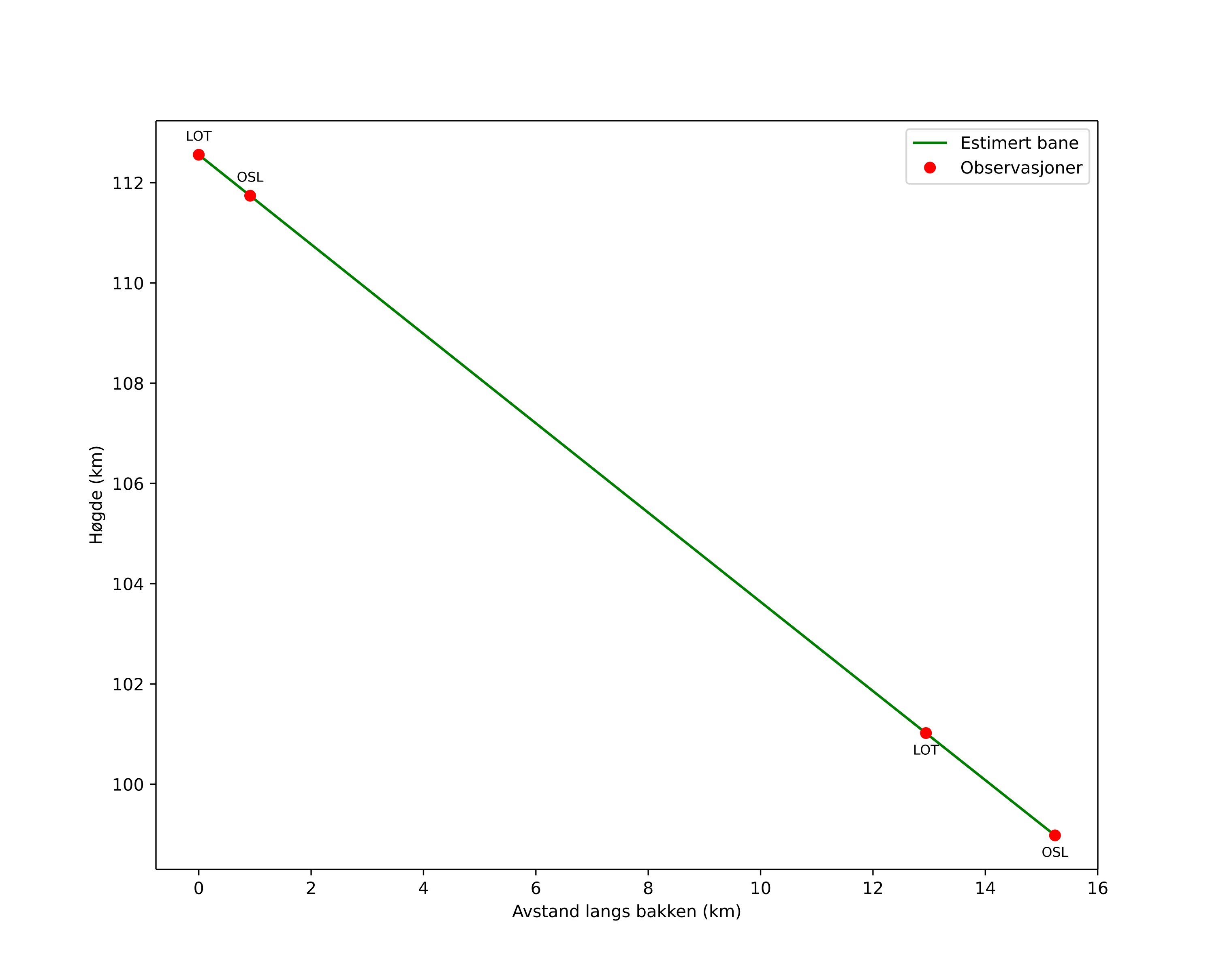
height profile
Meteorens atmosfæriske bane:
Starthøgde: 114,5 km
Slutthøgde: 101,0 km
Startposisjon: 61,459N 9,725E
Sluttposisjon: 61,533N 9,495E
Retning: 303,7°
Fallvinkel: 42,6°
Inngangshastighet: 73,0 km/s
Radiantens rektascensjon: 10:08 (152,1°)
Radiantens deklinasjon: 23,4°
Meteorsverm: Leonidene
Meteoroidens baneelement:
Perihelavstand: 0,988 AU
Eksentrisitet: 1,046
Inklinasjon: 161,1°
Knutelengde: 234,7°
Perihelargument: 177,5°
Midlere anomali: 0,0°
Epoke: 2025 NOV 17 02:58:05
orbit plot

Ikke-interaktivt plott | Interaktivt plott

position vs time
speed and acceleration

Loten (LOT) cam5


gnomonic
Videoer
• Gnomonisk
• Gnomonisk med koordinater
• Original
• Original med koordinater
Bilder
• Gnomonisk
• Gnomonisk med koordinater
• Original
• Original med koordinater
Tekstfiler
• Deteksjon
• Observasjon
• Koordinater
• Logg
Lysstyrke

Voksenlia (OSL) cam1


gnomonic
Videoer
• Gnomonisk
• Gnomonisk med koordinater
• Original
• Original med koordinater
Bilder
• Gnomonisk
• Gnomonisk med koordinater
• Original
• Original med koordinater
Tekstfiler
• Deteksjon
• Observasjon
• Koordinater
• Logg
Lysstyrke