🇳🇴 🇬🇧 🇩🇪 🇨🇿 🇫🇮

Meteor over Svelvik 2025-11-17 03:59:42 UTC

KML-fil

Kartet viser peilingene for meteoren. De lysere linjene viser retningene fra observasjonsstedene for meteorens tilsynekomst, og de mørkere linjene viser hvor den sist kunne sees. Den blå pila viser meteorens synlige ferd.

static map
height profile
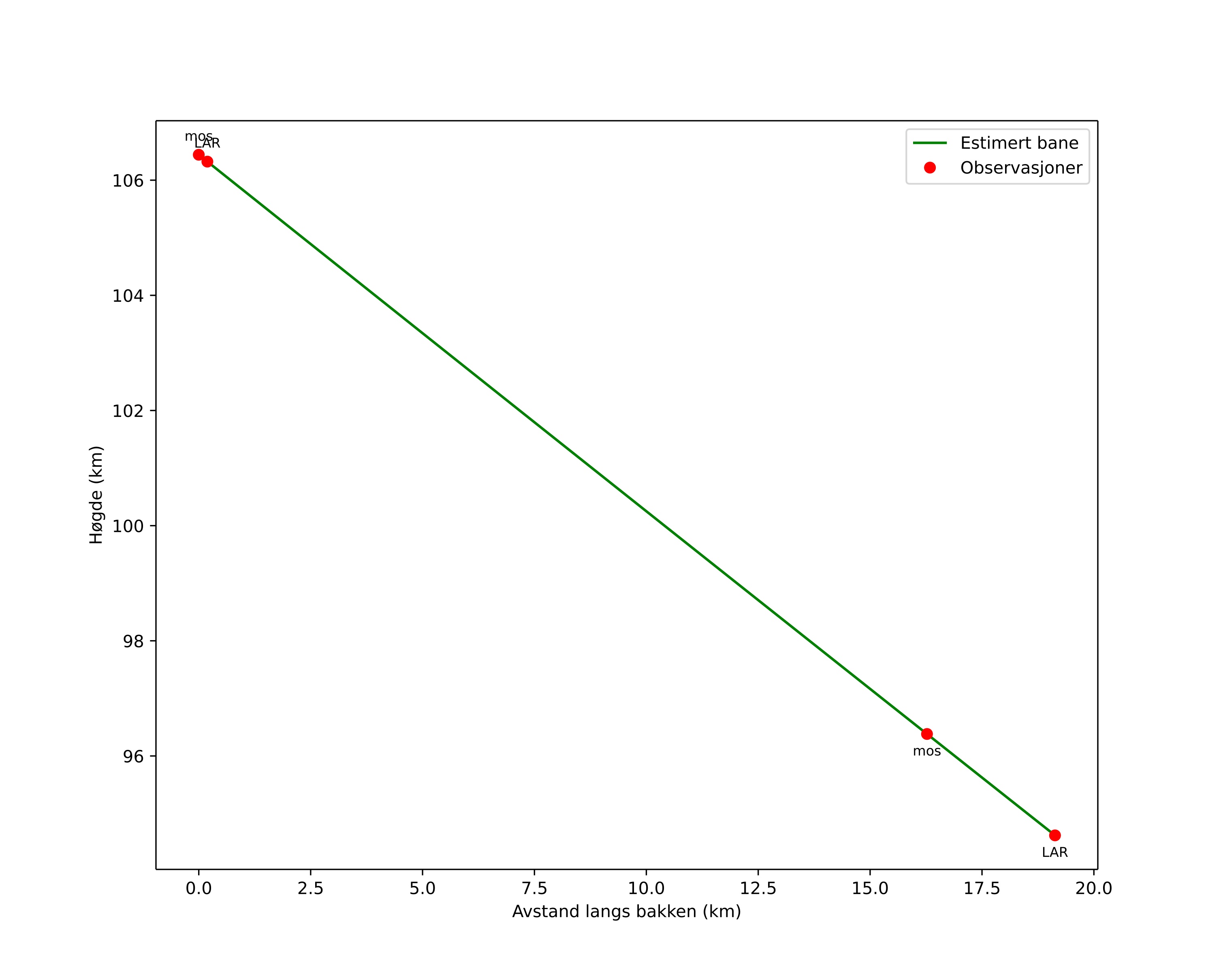
Meteorens atmosfæriske bane:
Starthøgde: 106,4 km
Slutthøgde: 94,6 km
Startposisjon: 59,635N 10,719E
Sluttposisjon: 59,626N 10,379E
Retning: 267,1°
Fallvinkel: 31,7°
Inngangshastighet: 57,2 km/s
Radiantens rektascensjon: 13:27 (202,0°)
Radiantens deklinasjon: 28,0°
Meteorsverm: sporadisk
Meteoroidens baneelement:
Perihelavstand: 0,523 AU
Eksentrisitet: 1,115
Inklinasjon: 96,4°
Knutelengde: 234,7°
Perihelargument: 96,1°
Midlere anomali: 3,6°
Epoke: 2025 NOV 17 03:59:42
orbit plot

Ikke-interaktivt plott

position vs time
speed and acceleration

Larvik (LAR) cam6


gnomonic
Videoer
• Gnomonisk
• Gnomonisk med koordinater
• Original
• Original (HEVC)
• Original med koordinater
Bilder
• Gnomonisk
• Gnomonisk med koordinater
• Original
• Original med koordinater
Tekstfiler
• Deteksjon
• Observasjon
• Koordinater
• Logg
Lysstyrke

Moss (mos) cam6


gnomonic
Videoer
• Gnomonisk
• Gnomonisk med koordinater
• Original
• Original (HEVC)
• Original med koordinater
Bilder
• Gnomonisk
• Gnomonisk med koordinater
• Original
• Original med koordinater
Tekstfiler
• Deteksjon
• Observasjon
• Koordinater
• Logg
Lysstyrke