🇳🇴 🇬🇧 🇩🇪 🇨🇿 🇫🇮

Meteor over Raufoss 2025-11-17 05:33:34 UTC

KML file

The map shows the bearings for the meteor. The lighter lines show the directions from the observation sites at the meteor's appearance, and the darker lines show where it was last seen. The blue arrow indicates the visible path of the meteor.

static map
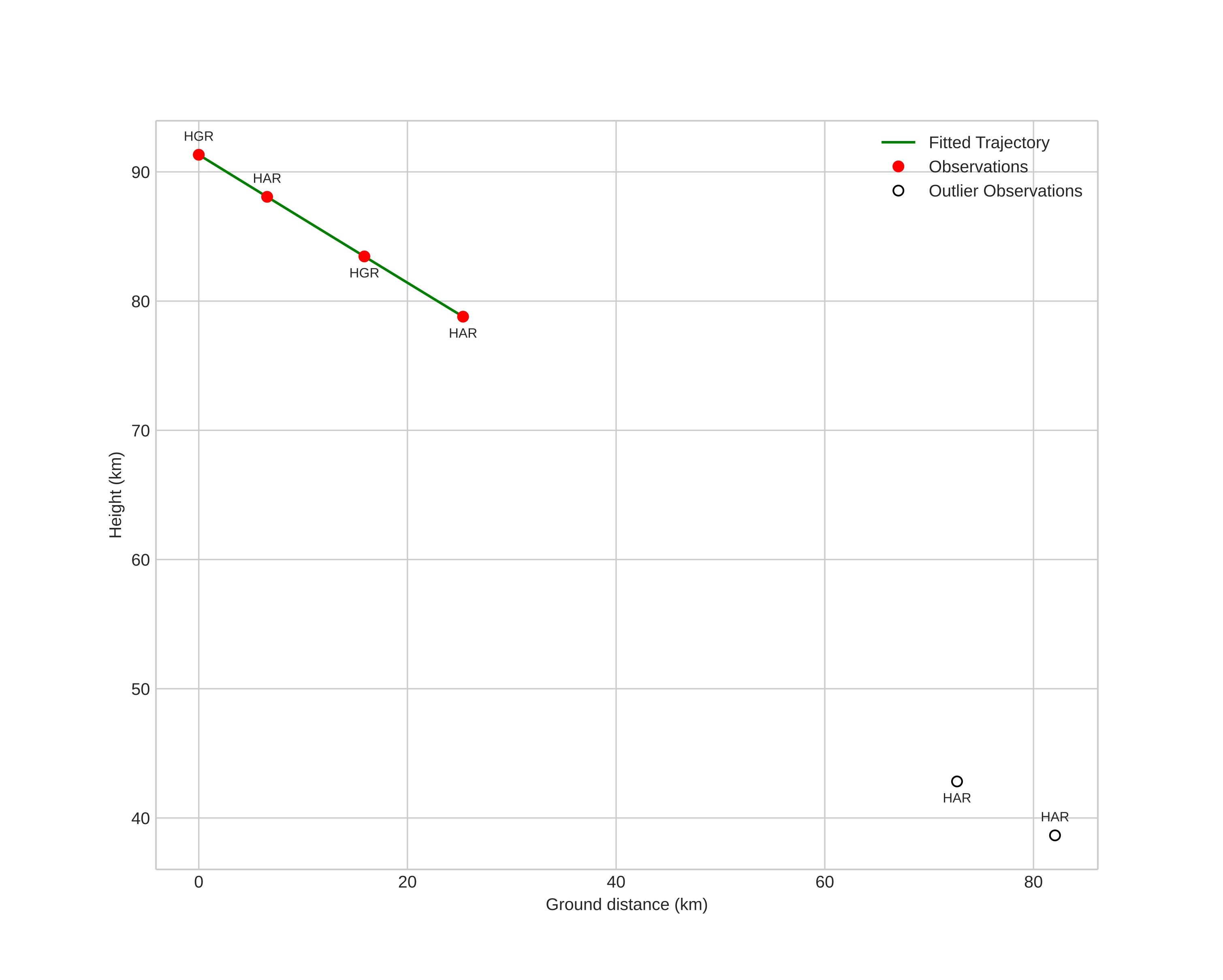
height profile
wind profile
Meteor's Atmospheric Trajectory:
Start height: 91.3 km
End height: 78.8 km
Start position: 60.923N 10.036E
End position: 60.875N 10.494E
Direction: 102.0°
Inclination angle: 26.3°
Entry speed: 31.4 km/s
Radiant R.A.: 04:06 (61.5°)
Radiant Dec.: 26.2°
Meteor Shower: Northern Taurids
Meteoroid's Orbital Elements:
Perihelion distance: 0.375 AU
Eccentricity: 0.876
Inclination: 6.2°
Long. of Asc. Node: 234.7°
Argument of Perihelion: 289.2°
Mean Anomaly: 352.3°
Epoch: 2025 NOV 17 05:33:34
orbit plot

Non-interactive plot

position vs time
speed and acceleration

Hagar (HGR) cam7


gnomonic
Videos
• Gnomonic
• Gnomonic with coordinates
• Original
• Original (HEVC)
• Original with coordinates
Images
• Gnomonic
• Gnomonic with coordinates
• Original
• Original with coordinates
Text Files
• Detection
• Observation
• Coordinates
• Log
Brightness

Harestua (HAR) cam1


gnomonic
Videos
• Gnomonic
• Gnomonic with coordinates
• Original
• Original (HEVC)
• Original with coordinates
Images
• Gnomonic
• Gnomonic with coordinates
• Original
• Original with coordinates
Text Files
• Detection
• Observation
• Coordinates
• Log
Brightness

Harestua (HAR) cam6


gnomonic
Videos
• Gnomonic
• Gnomonic with coordinates
• Original
• Original (HEVC)
• Original with coordinates
Images
• Gnomonic
• Gnomonic with coordinates
• Original
• Original with coordinates
Text Files
• Detection
• Observation
• Coordinates
• Log
Brightness