🇳🇴 🇬🇧 🇩🇪 🇨🇿 🇫🇮

Meteor, poloha: Breivikbotn 2025-11-17 22:06:21 UTC

Soubor KML  |  InteraktivnĂ­ mapa

Mapa zobrazuje dráhy meteoru. Světlejší čáry ukazují směry od pozorovacích stanic při objevení se meteoru a tmavší čáry, kde byl naposledy viděn. Modrá šipka značí viditelnou dráhu meteoru.

static map
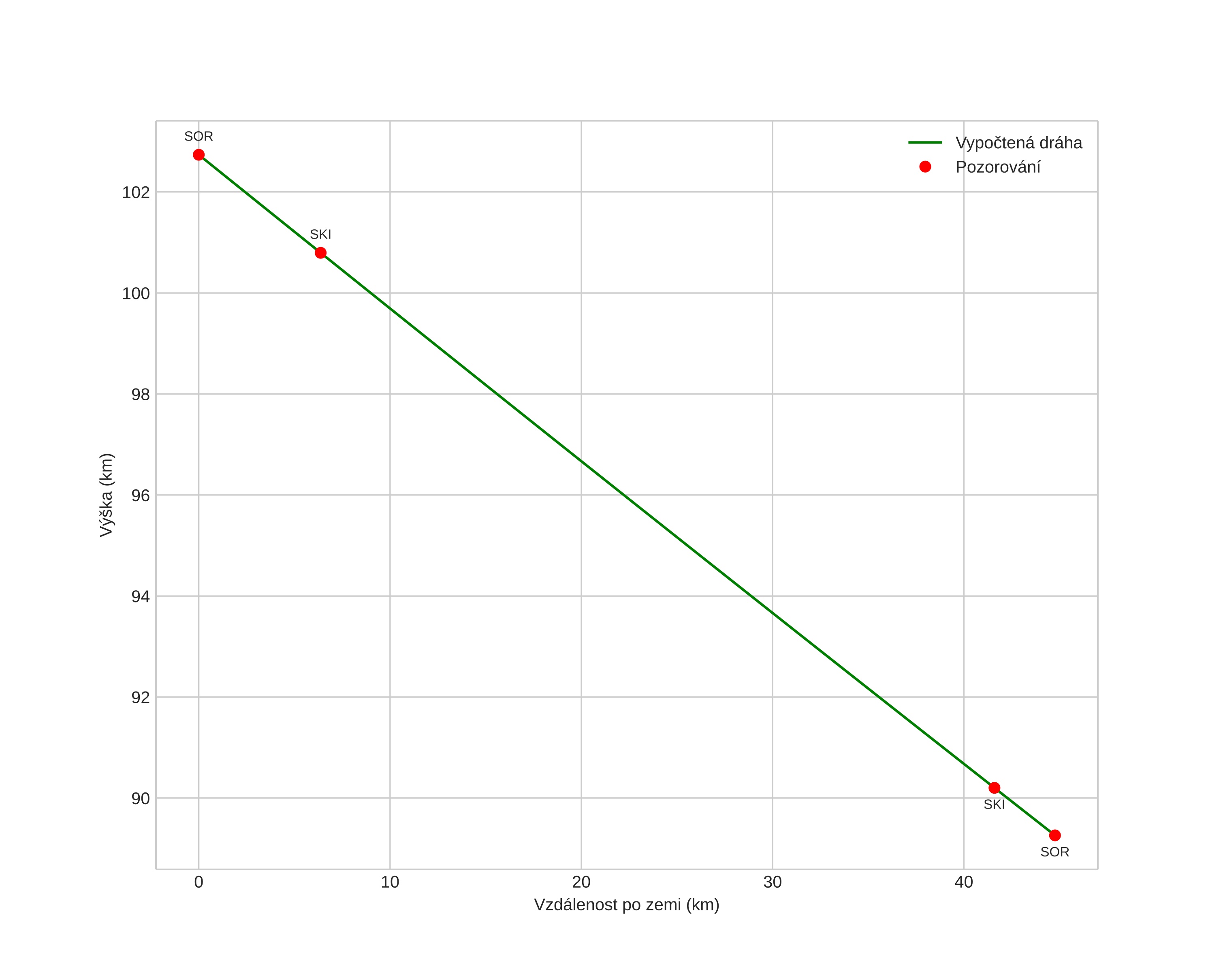
height profile
Atmosférická dráha meteoru:
Počáteční výška: 100,9 km
Konečná výška: 89,1 km
Počáteční poloha: 70,752N 23,152E
Konečná poloha: 70,653N 22,063E
Směr: 255,1°
Sklon: 15,9°
VstupnĂ­ rychlost: 62,4 km/s
Rektascenze radiantu: 10:02 (150,5°)
Deklinace radiantu: 19,3°
MeteorickĂ˝ roj: Leonidy
Elementy dráhy meteoroidu:
Vzdálenost v periheliu: 0,989 AU
Excentricita: 0,111
Sklon dráhy: 166,6°
Délka vzestupného uzlu: 235,5°
Argument perihelia: 180,0°
Střední anomálie: 0,0°
Epocha: 2025 NOV 17 22:06:21
orbit plot

NeinteraktivnĂ­ graf | InteraktivnĂ­ graf

position vs time
speed and acceleration

Skibotn (SKI) cam2


gnomonic
Videa
• Gnomonická
• Gnomonická se souřadnicemi
• Původní
• Původní se souřadnicemi
Obrázky
• Gnomonická
• Gnomonická se souřadnicemi
• Původní
• Původní se souřadnicemi
Textové soubory
• Detekce
• Pozorování
• Souřadnice
• Protokol
Jasnost

Sorreisa (SOR) cam2


gnomonic
Videa
• Gnomonická
• Gnomonická se souřadnicemi
• Původní
• Původní se souřadnicemi
Obrázky
• Gnomonická
• Gnomonická se souřadnicemi
• Původní
• Původní se souřadnicemi
Textové soubory
• Detekce
• Pozorování
• Souřadnice
• Protokol
Jasnost