🇳🇴 🇬🇧 🇩🇪 🇨🇿 🇫🇮

Meteor Stigtomtan yllä 2025-11-17 23:23:59 UTC

KML-tiedosto  |  Interaktiivinen kartta

Kartta näyttää meteorin suuntahavainnot. Vaaleammat viivat näyttävät suunnat havaintoasemilta meteorin ilmestyessä, ja tummemmat viivat näyttävät, missä se viimeksi nähtiin. Sininen nuoli näyttää meteorin näkyvän lennon.

static map
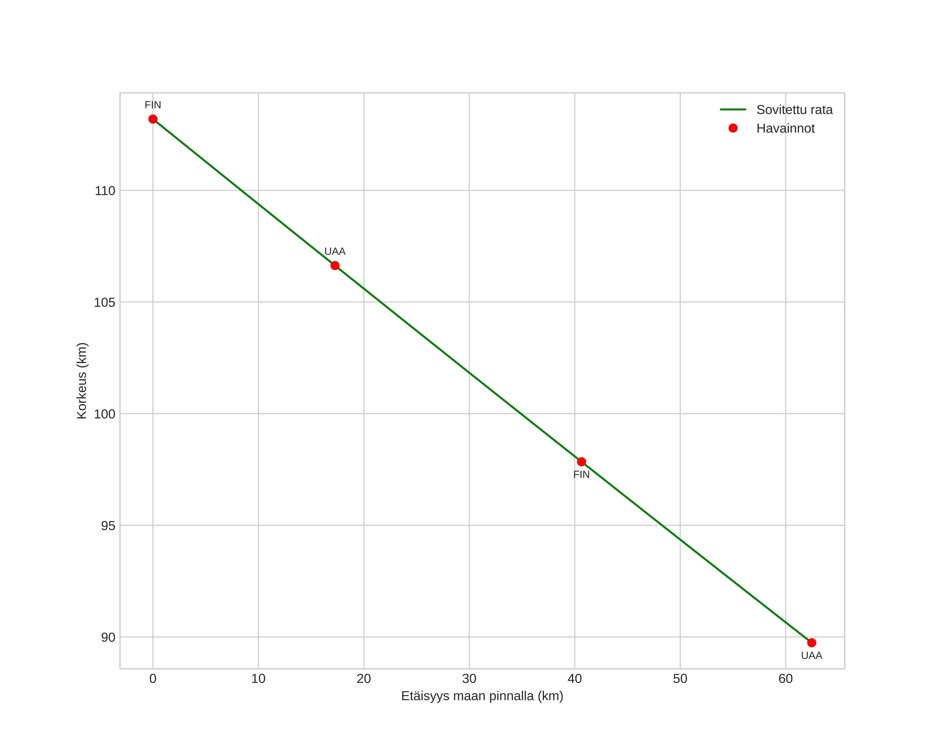
height profile
Meteorin ilmakehärata:
Alkukorkeus: 113,2 km
Loppukorkeus: 90,9 km
Alkupiste: 59,064N 17,817E
Loppupiste: 58,913N 16,747E
Suunta: 255,1°
Kallistuskulma: 19,3°
Tulonopeus: 69,7 km/s
Radiantin R,A,: 10:33 (158,3°)
Radiantin Dekl,: 23,9°
Meteoriparvi: Leonidit
Meteoroidin rataelementit:
Perihelietäisyys: 0,964 AU
Eksentrisyys: 0,797
Inklinaatio: 155,9°
Nousevan solmun pituus: 235,5°
Perihelin argumentti: 160,7°
Keskianomalia: 1,3°
Epookki: 2025 NOV 17 23:23:59
orbit plot

Ei-interaktiivinen kuvaaja | Interaktiivinen kuvaaja

position vs time
speed and acceleration

Finnskogen (FIN) cam3


gnomonic
Videot:
• Gnomoninen
• Gnomoninen koordinaateilla
• Alkuperäinen
• Alkuperäinen koordinaateilla
Kuvat:
• Gnomoninen
• Gnomoninen koordinaateilla
• Alkuperäinen
• Alkuperäinen koordinaateilla
Tekstitiedostot:
• Havaintoraportti
• Observaatio
• Koordinaatit
• Loki
Kirkkaus