🇳🇴 🇬🇧 🇩🇪 🇨🇿 🇫🇮

Meteor Fedjen yllä 2025-11-18 00:16:11 UTC

KML-tiedosto  |  Interaktiivinen kartta

Kartta näyttää meteorin suuntahavainnot. Vaaleammat viivat näyttävät suunnat havaintoasemilta meteorin ilmestyessä, ja tummemmat viivat näyttävät, missä se viimeksi nähtiin. Sininen nuoli näyttää meteorin näkyvän lennon.

static map
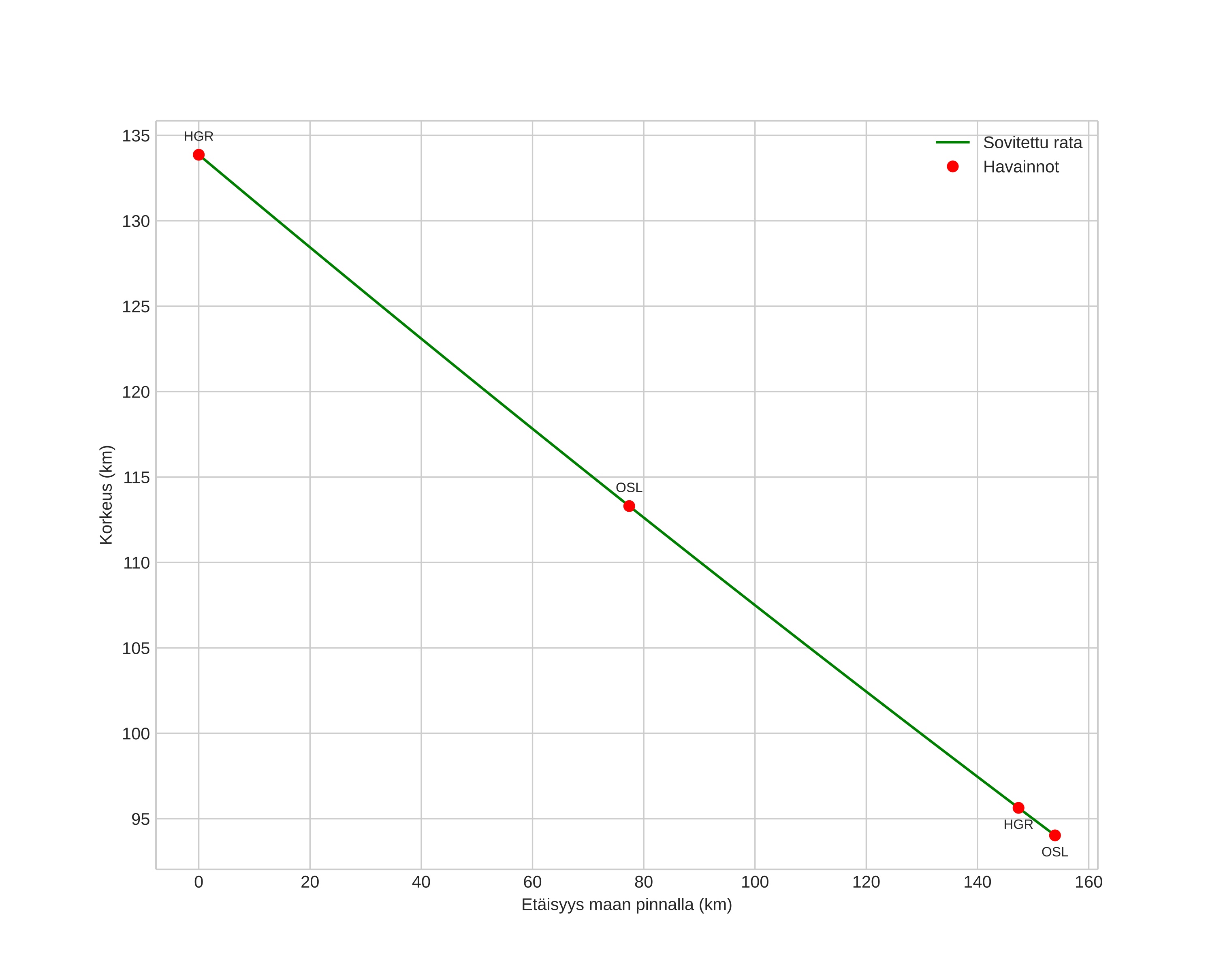
height profile
Meteorin ilmakehärata:
Alkukorkeus: 135,0 km
Loppukorkeus: 93,2 km
Alkupiste: 61,827N 4,626E
Loppupiste: 61,661N 1,883E
Suunta: 263,9°
Kallistuskulma: 16,0°
Tulonopeus: 81,1 km/s
Radiantin R,A,: 10:13 (153,3°)
Radiantin Dekl,: 16,7°
Meteoriparvi: Leonidit
Meteoroidin rataelementit:
Perihelietäisyys: 0,982 AU
Eksentrisyys: 1,805
Inklinaatio: 171,4°
Nousevan solmun pituus: 235,6°
Perihelin argumentti: 171,6°
Keskianomalia: 3,6°
Epookki: 2025 NOV 18 00:16:11
orbit plot

Ei-interaktiivinen kuvaaja | Interaktiivinen kuvaaja

position vs time
speed and acceleration

Hagar (HGR) cam1


gnomonic
Videot:
• Gnomoninen
• Gnomoninen koordinaateilla
• Alkuperäinen
• Alkuperäinen koordinaateilla
Kuvat:
• Gnomoninen
• Gnomoninen koordinaateilla
• Alkuperäinen
• Alkuperäinen koordinaateilla
Tekstitiedostot:
• Havaintoraportti
• Observaatio
• Koordinaatit
• Loki
Kirkkaus

Voksenlia (OSL) cam2


gnomonic
Videot:
• Gnomoninen
• Gnomoninen koordinaateilla
• Alkuperäinen
• Alkuperäinen koordinaateilla
Kuvat:
• Gnomoninen
• Gnomoninen koordinaateilla
• Alkuperäinen
• Alkuperäinen koordinaateilla
Tekstitiedostot:
• Havaintoraportti
• Observaatio
• Koordinaatit
• Loki
Kirkkaus