🇳🇴 🇬🇧 🇩🇪 🇨🇿 🇫🇮

Meteor, poloha: Råholt 2025-11-18 00:22:09 UTC

Soubor KML  |  Interaktivní mapa

Mapa zobrazuje dráhy meteoru. Světlejší čáry ukazují směry od pozorovacích stanic při objevení se meteoru a tmavší čáry, kde byl naposledy viděn. Modrá šipka značí viditelnou dráhu meteoru.

static map
height profile
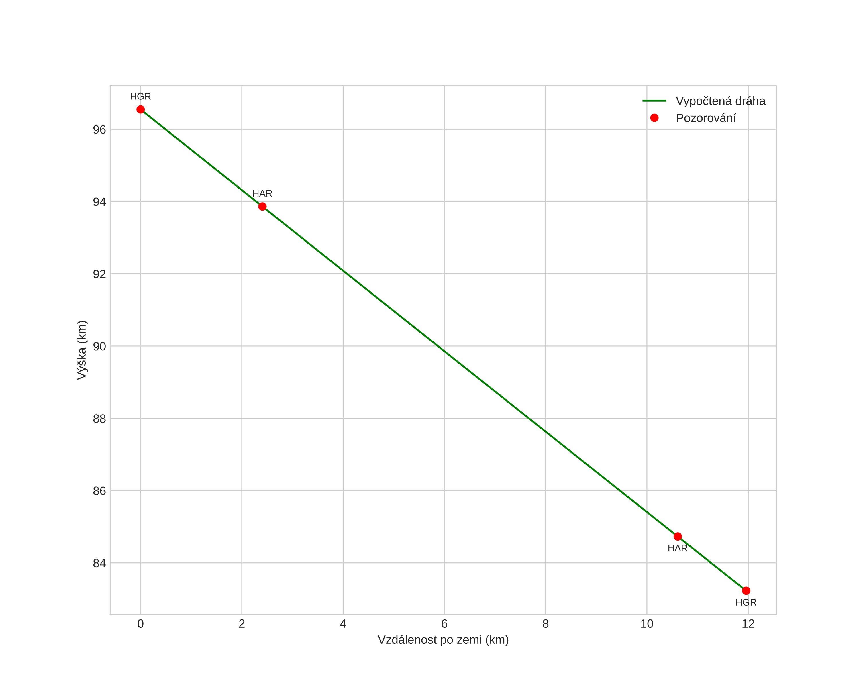
Atmosférická dráha meteoru:
Počáteční výška: 96,6 km
Konečná výška: 83,2 km
Počáteční poloha: 60,109N 11,186E
Konečná poloha: 60,215N 11,235E
Směr: 13,0°
Sklon: 48,1°
Vstupní rychlost: 30,1 km/s
Rektascenze radiantu: 04:15 (63,8°)
Deklinace radiantu: 17,0°
Meteorický roj: Jižní Tauridy
Elementy dráhy meteoroidu:
Vzdálenost v periheliu: 0,393 AU
Excentricita: 0,843
Sklon dráhy: 4,6°
Délka vzestupného uzlu: 55,6°
Argument perihelia: 108,4°
Střední anomálie: 349,5°
Epocha: 2025 NOV 18 00:22:09
orbit plot

Neinteraktivní graf | Interaktivní graf

position vs time
speed and acceleration