🇳🇴 🇬🇧 🇩🇪 🇨🇿 🇫🇮

Meteor über Mora 2025-11-18 00:30:53 UTC

KML-Datei

Die Karte zeigt die Peilungen für den Meteor. Die helleren Linien zeigen die Richtungen von den Beobachtungsorten beim Erscheinen des Meteors, und die dunkleren Linien, wo er zuletzt gesehen wurde. Der blaue Pfeil zeigt die sichtbare Bahn des Meteors.

static map
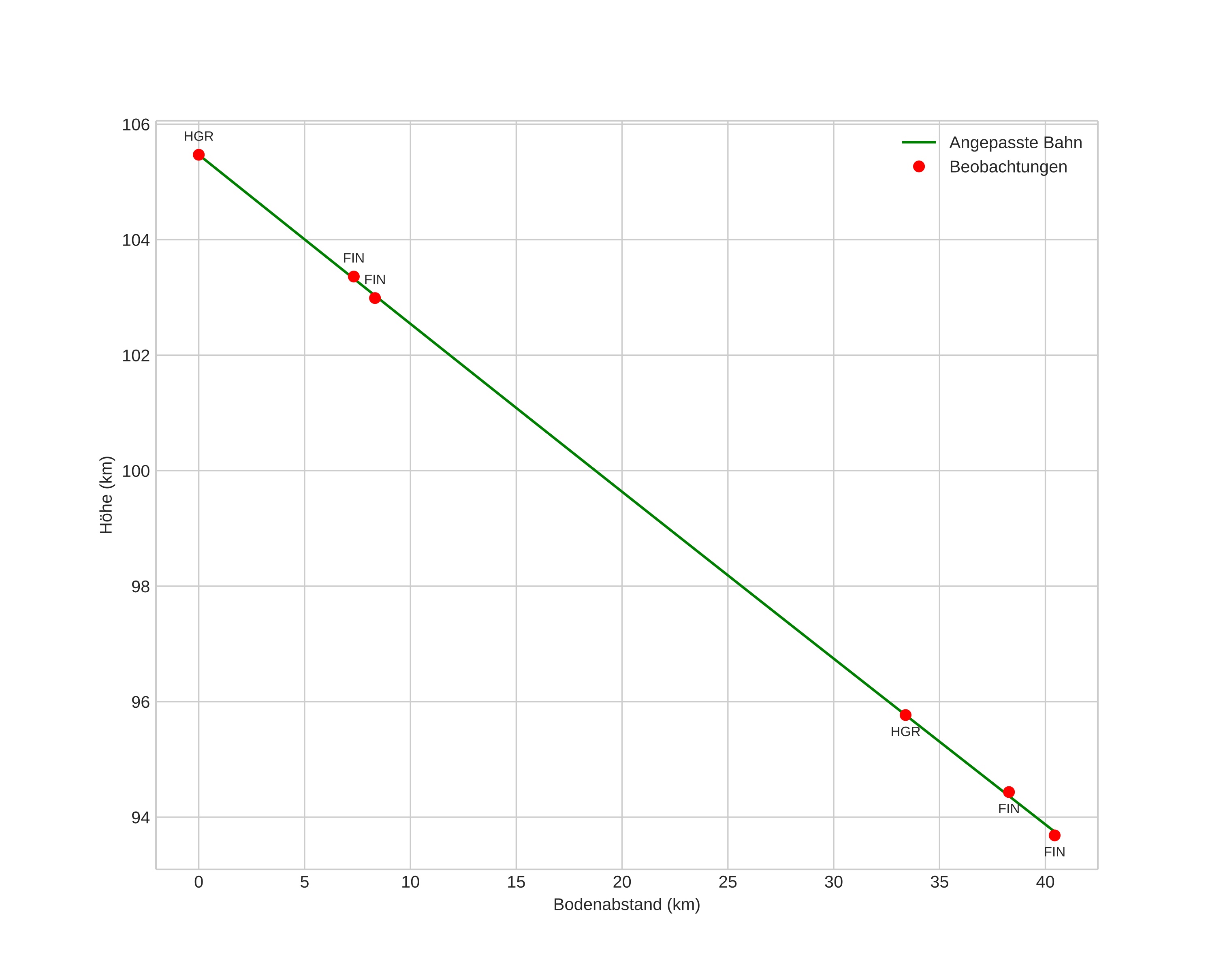
height profile
Atmosphärische Bahn des Meteors:
Anfangshöhe: 105,5 km
Endhöhe: 93,7 km
Startposition: 61,100N 15,274E
Endposition: 60,917N 14,625E
Richtung: 240,1°
Neigungswinkel: 16,3°
Eintrittsgeschwindigkeit: 62,5 km/s
Rektaszension des Radianten: 12:36 (189,1°)
Deklination des Radianten: 28,1°
Meteorstrom: sporadisch
Bahnelemente des Meteoroiden:
Periheldistanz: 0,616 AU
Exzentrizität: 1,053
Inklination: 118,1°
Länge des aufsteigenden Knotens: 235,6°
Argument des Perihels: 105,4°
Mittlere Anomalie: 0,9°
Epoche: 2025 NOV 18 00:30:53
orbit plot

Nicht-interaktives Diagramm

position vs time
speed and acceleration

Finnskogen (FIN) cam2


gnomonic
Videos
• Gnomonisch
• Gnomonisch mit Koordinaten
• Original
• Original (HEVC)
• Original mit Koordinaten
Bilder
• Gnomonisch
• Gnomonisch mit Koordinaten
• Original
• Original mit Koordinaten
Textdateien
• Erkennung
• Beobachtung
• Koordinaten
• Protokoll
Helligkeit

Finnskogen (FIN) cam3


gnomonic
Videos
• Gnomonisch
• Gnomonisch mit Koordinaten
• Original
• Original (HEVC)
• Original mit Koordinaten
Bilder
• Gnomonisch
• Gnomonisch mit Koordinaten
• Original
• Original mit Koordinaten
Textdateien
• Erkennung
• Beobachtung
• Koordinaten
• Protokoll
Helligkeit

Hagar (HGR) cam3


gnomonic
Videos
• Gnomonisch
• Gnomonisch mit Koordinaten
• Original
• Original (HEVC)
• Original mit Koordinaten
Bilder
• Gnomonisch
• Gnomonisch mit Koordinaten
• Original
• Original mit Koordinaten
Textdateien
• Erkennung
• Beobachtung
• Koordinaten
• Protokoll
Helligkeit