🇳🇴 🇬🇧 🇩🇪 🇨🇿 🇫🇮

Meteor over Alta 2025-11-18 00:50:40 UTC

KML-fil  |  Interaktivt kart

Kartet viser peilingene for meteoren. De lysere linjene viser retningene fra observasjonsstedene for meteorens tilsynekomst, og de mørkere linjene viser hvor den sist kunne sees. Den blå pila viser meteorens synlige ferd.

static map
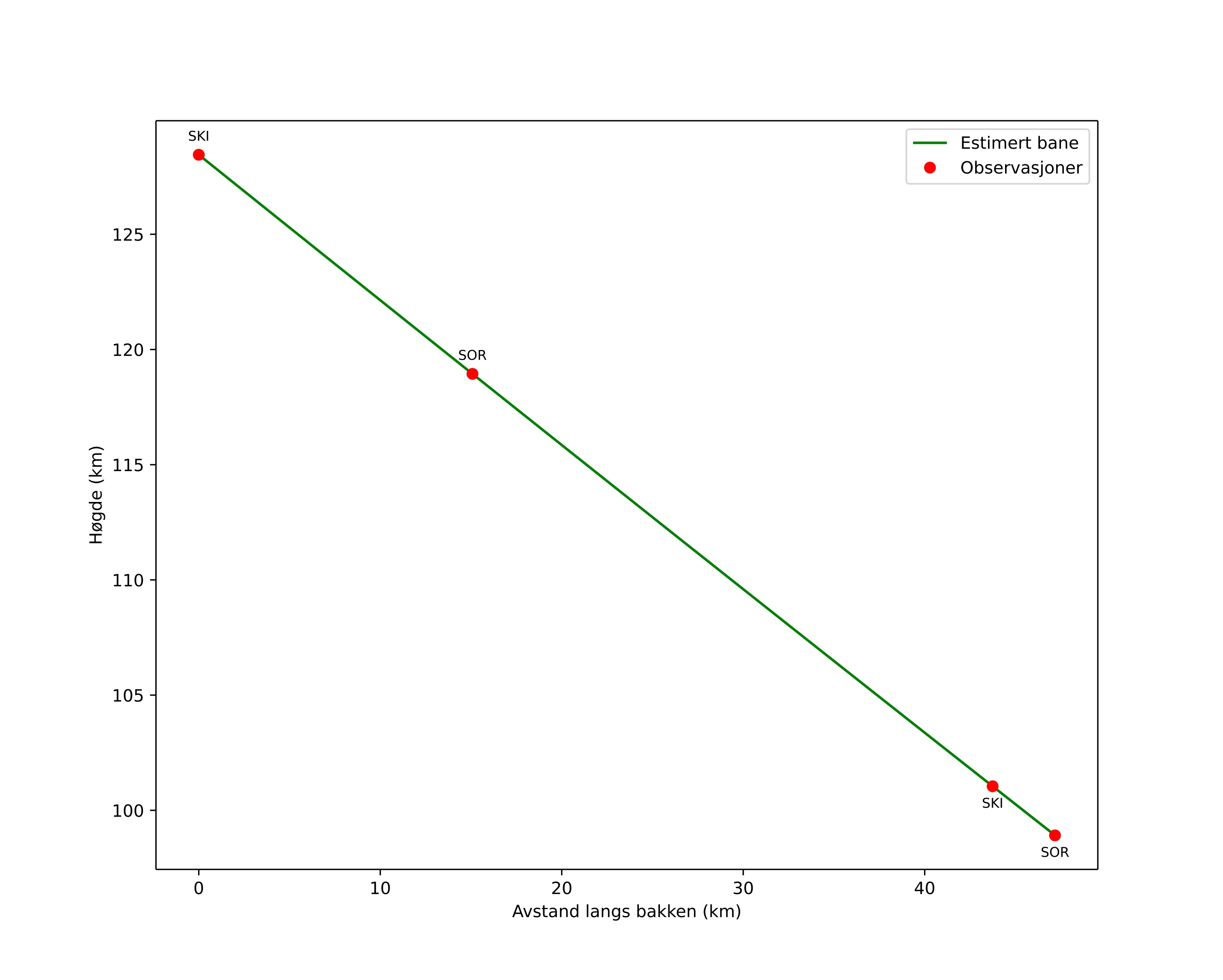
height profile
Meteorens atmosfæriske bane:
Starthøgde: 120,8 km
Slutthøgde: 98,8 km
Startposisjon: 69,207N 24,854E
Sluttposisjon: 69,333N 24,015E
Retning: 293,4°
Fallvinkel: 31,5°
Inngangshastighet: 73,0 km/s
Radiantens rektascensjon: 10:07 (151,8°)
Radiantens deklinasjon: 21,4°
Meteorsverm: Leonidene
Meteoroidens baneelement:
Perihelavstand: 0,989 AU
Eksentrisitet: 1,017
Inklinasjon: 164,3°
Knutelengde: 235,6°
Perihelargument: 178,9°
Midlere anomali: 0,0°
Epoke: 2025 NOV 18 00:50:40
orbit plot

Ikke-interaktivt plott | Interaktivt plott

position vs time
speed and acceleration

Skibotn (SKI) cam2


gnomonic
Videoer
• Gnomonisk
• Gnomonisk med koordinater
• Original
• Original med koordinater
Bilder
• Gnomonisk
• Gnomonisk med koordinater
• Original
• Original med koordinater
Tekstfiler
• Deteksjon
• Observasjon
• Koordinater
• Logg
Lysstyrke

Sorreisa (SOR) cam2


gnomonic
Videoer
• Gnomonisk
• Gnomonisk med koordinater
• Original
• Original med koordinater
Bilder
• Gnomonisk
• Gnomonisk med koordinater
• Original
• Original med koordinater
Tekstfiler
• Deteksjon
• Observasjon
• Koordinater
• Logg
Lysstyrke