🇳🇴 🇬🇧 🇩🇪 🇨🇿 🇫🇮

Meteor Altan yllä 2025-11-18 00:50:40 UTC

KML-tiedosto  |  Interaktiivinen kartta

Kartta näyttää meteorin suuntahavainnot. Vaaleammat viivat näyttävät suunnat havaintoasemilta meteorin ilmestyessä, ja tummemmat viivat näyttävät, missä se viimeksi nähtiin. Sininen nuoli näyttää meteorin näkyvän lennon.

static map
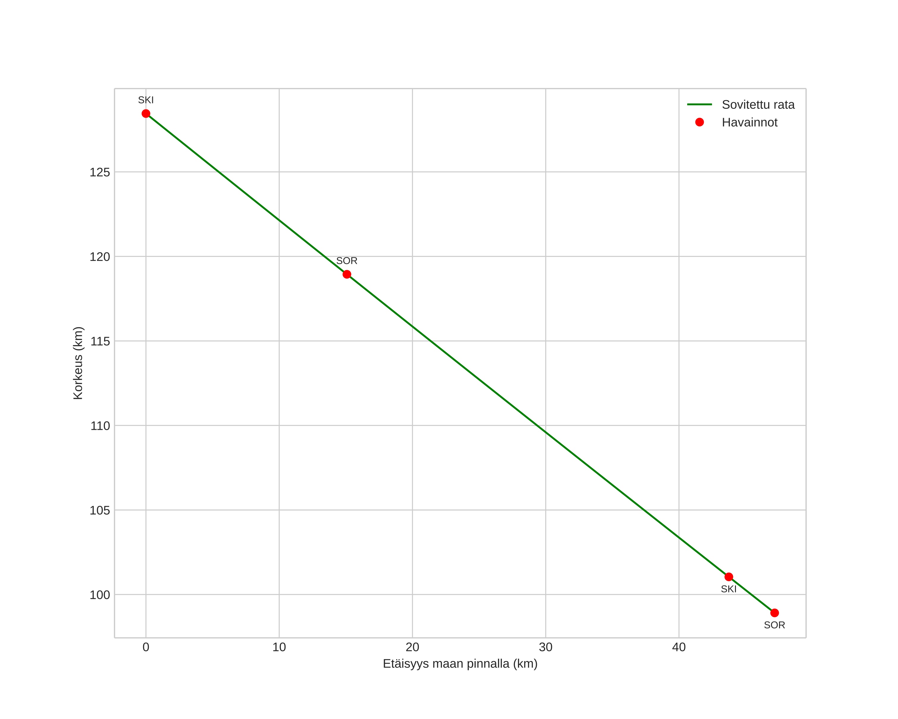
height profile
Meteorin ilmakehärata:
Alkukorkeus: 120,8 km
Loppukorkeus: 98,8 km
Alkupiste: 69,207N 24,854E
Loppupiste: 69,333N 24,015E
Suunta: 293,4°
Kallistuskulma: 31,5°
Tulonopeus: 73,0 km/s
Radiantin R,A,: 10:07 (151,8°)
Radiantin Dekl,: 21,4°
Meteoriparvi: Leonidit
Meteoroidin rataelementit:
Perihelietäisyys: 0,989 AU
Eksentrisyys: 1,017
Inklinaatio: 164,3°
Nousevan solmun pituus: 235,6°
Perihelin argumentti: 178,9°
Keskianomalia: 0,0°
Epookki: 2025 NOV 18 00:50:40
orbit plot

Ei-interaktiivinen kuvaaja | Interaktiivinen kuvaaja

position vs time
speed and acceleration

Skibotn (SKI) cam2


gnomonic
Videot:
• Gnomoninen
• Gnomoninen koordinaateilla
• Alkuperäinen
• Alkuperäinen koordinaateilla
Kuvat:
• Gnomoninen
• Gnomoninen koordinaateilla
• Alkuperäinen
• Alkuperäinen koordinaateilla
Tekstitiedostot:
• Havaintoraportti
• Observaatio
• Koordinaatit
• Loki
Kirkkaus

Sorreisa (SOR) cam2


gnomonic
Videot:
• Gnomoninen
• Gnomoninen koordinaateilla
• Alkuperäinen
• Alkuperäinen koordinaateilla
Kuvat:
• Gnomoninen
• Gnomoninen koordinaateilla
• Alkuperäinen
• Alkuperäinen koordinaateilla
Tekstitiedostot:
• Havaintoraportti
• Observaatio
• Koordinaatit
• Loki
Kirkkaus