🇳🇴 🇬🇧 🇩🇪 🇨🇿 🇫🇮

Meteor Utsiran yllä 2025-11-18 01:05:13 UTC

KML-tiedosto  |  Interaktiivinen kartta

Kartta näyttää meteorin suuntahavainnot. Vaaleammat viivat näyttävät suunnat havaintoasemilta meteorin ilmestyessä, ja tummemmat viivat näyttävät, missä se viimeksi nähtiin. Sininen nuoli näyttää meteorin näkyvän lennon.

static map
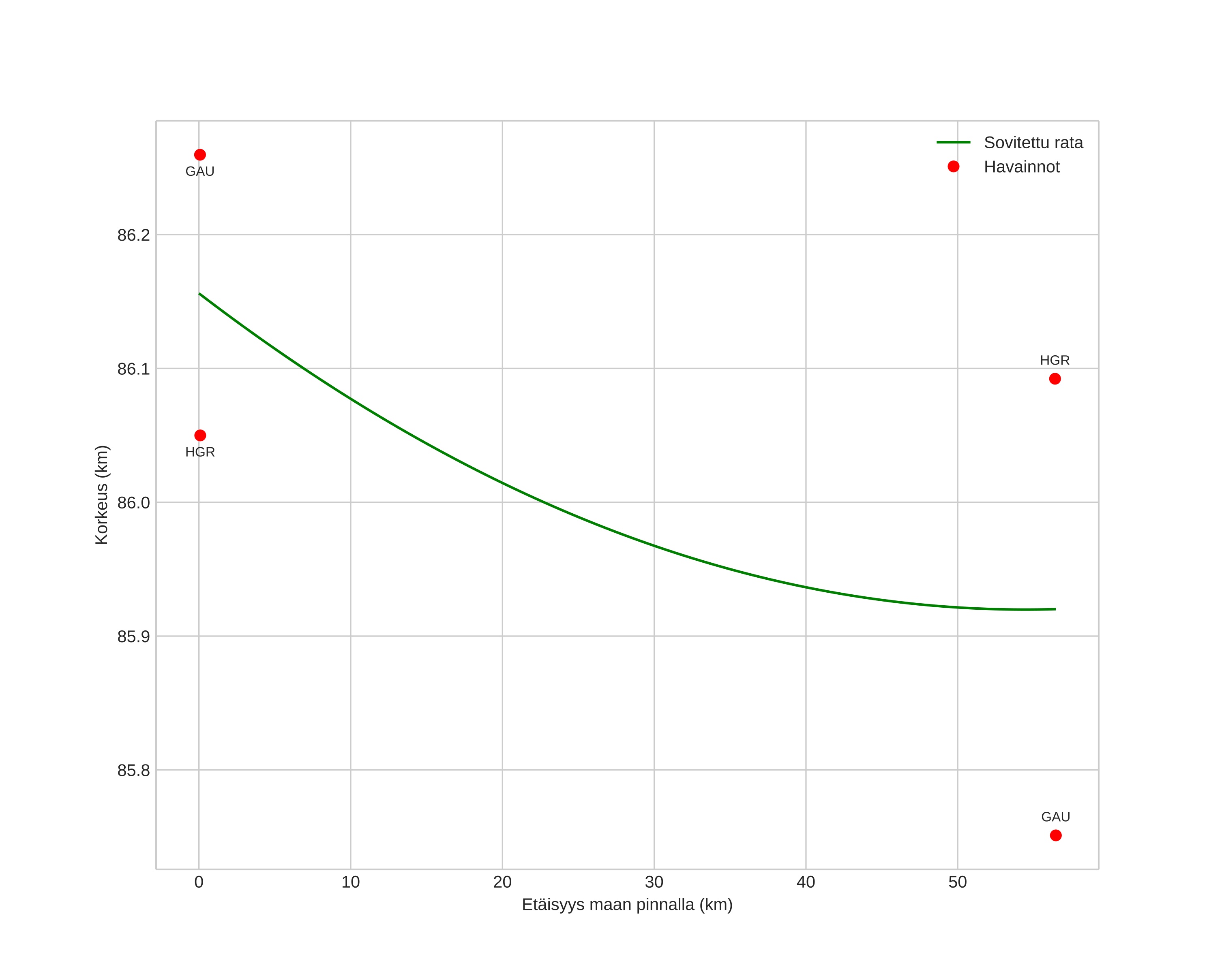
height profile
Meteorin ilmakehärata:
Alkukorkeus: 88,4 km
Loppukorkeus: 85,3 km
Alkupiste: 59,525N 5,079E
Loppupiste: 59,164N 4,605E
Suunta: 214,0°
Kallistuskulma: 3,7°
Tulonopeus: 29,6 km/s
Radiantin R,A,: 14:43 (220,8°)
Radiantin Dekl,: 24,7°
Meteoriparvi: Sporadinen
Meteoroidin rataelementit:
Perihelietäisyys: 0,487 AU
Eksentrisyys: 0,596
Inklinaatio: 39,6°
Nousevan solmun pituus: 235,6°
Perihelin argumentti: 69,0°
Keskianomalia: 39,8°
Epookki: 2025 NOV 18 01:05:13
orbit plot

Ei-interaktiivinen kuvaaja | Interaktiivinen kuvaaja

position vs time
speed and acceleration

Gaustatoppen (GAU) cam5


gnomonic
Videot:
• Gnomoninen
• Gnomoninen koordinaateilla
• Alkuperäinen
• Alkuperäinen koordinaateilla
Kuvat:
• Gnomoninen
• Gnomoninen koordinaateilla
• Alkuperäinen
• Alkuperäinen koordinaateilla
Tekstitiedostot:
• Havaintoraportti
• Observaatio
• Koordinaatit
• Loki
Kirkkaus

Hagar (HGR) cam1


gnomonic
Videot:
• Gnomoninen
• Gnomoninen koordinaateilla
• Alkuperäinen
• Alkuperäinen koordinaateilla
Kuvat:
• Gnomoninen
• Gnomoninen koordinaateilla
• Alkuperäinen
• Alkuperäinen koordinaateilla
Tekstitiedostot:
• Havaintoraportti
• Observaatio
• Koordinaatit
• Loki
Kirkkaus