🇳🇴 🇬🇧 🇩🇪 🇨🇿 🇫🇮

Meteor over Ljusdal 2025-11-18 01:51:54 UTC

KML-fil  |  Interaktivt kart

Kartet viser peilingene for meteoren. De lysere linjene viser retningene fra observasjonsstedene for meteorens tilsynekomst, og de mørkere linjene viser hvor den sist kunne sees. Den blå pila viser meteorens synlige ferd.

static map
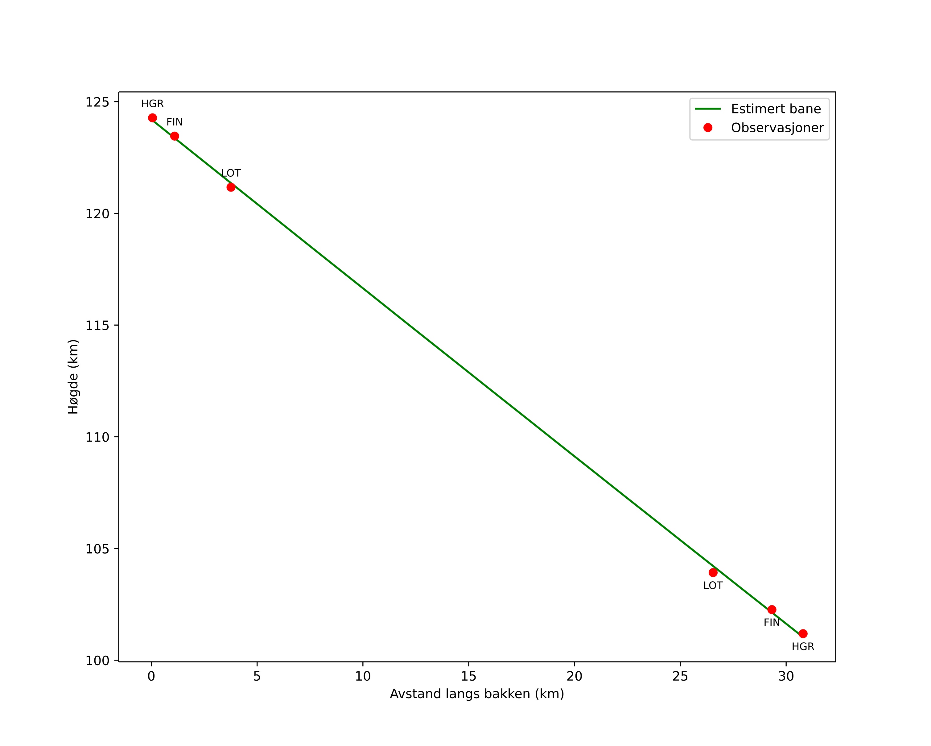
height profile
Meteorens atmosfæriske bane:
Starthøgde: 124,2 km
Slutthøgde: 101,4 km
Startposisjon: 61,753N 16,707E
Sluttposisjon: 61,858N 16,187E
Retning: 293,4°
Fallvinkel: 37,5°
Inngangshastighet: 72,6 km/s
Radiantens rektascensjon: 10:14 (153,7°)
Radiantens deklinasjon: 22,6°
Meteorsverm: Leonidene
Meteoroidens baneelement:
Perihelavstand: 0,987 AU
Eksentrisitet: 1,004
Inklinasjon: 161,3°
Knutelengde: 235,6°
Perihelargument: 174,8°
Midlere anomali: 0,0°
Epoke: 2025 NOV 18 01:51:54
orbit plot

Ikke-interaktivt plott | Interaktivt plott

position vs time
speed and acceleration

Finnskogen (FIN) cam2


gnomonic
Videoer
• Gnomonisk
• Gnomonisk med koordinater
• Original
• Original med koordinater
Bilder
• Gnomonisk
• Gnomonisk med koordinater
• Original
• Original med koordinater
Tekstfiler
• Deteksjon
• Observasjon
• Koordinater
• Logg
Lysstyrke

Hagar (HGR) cam3


gnomonic
Videoer
• Gnomonisk
• Gnomonisk med koordinater
• Original
• Original med koordinater
Bilder
• Gnomonisk
• Gnomonisk med koordinater
• Original
• Original med koordinater
Tekstfiler
• Deteksjon
• Observasjon
• Koordinater
• Logg
Lysstyrke

Loten (LOT) cam2


gnomonic
Videoer
• Gnomonisk
• Gnomonisk med koordinater
• Original
• Original med koordinater
Bilder
• Gnomonisk
• Gnomonisk med koordinater
• Original
• Original med koordinater
Tekstfiler
• Deteksjon
• Observasjon
• Koordinater
• Logg
Lysstyrke