🇳🇴 🇬🇧 🇩🇪 🇨🇿 🇫🇮

Meteor Ljusdalin yllä 2025-11-18 01:51:54 UTC

KML-tiedosto

Kartta näyttää meteorin suuntahavainnot. Vaaleammat viivat näyttävät suunnat havaintoasemilta meteorin ilmestyessä, ja tummemmat viivat näyttävät, missä se viimeksi nähtiin. Sininen nuoli näyttää meteorin näkyvän lennon.

static map
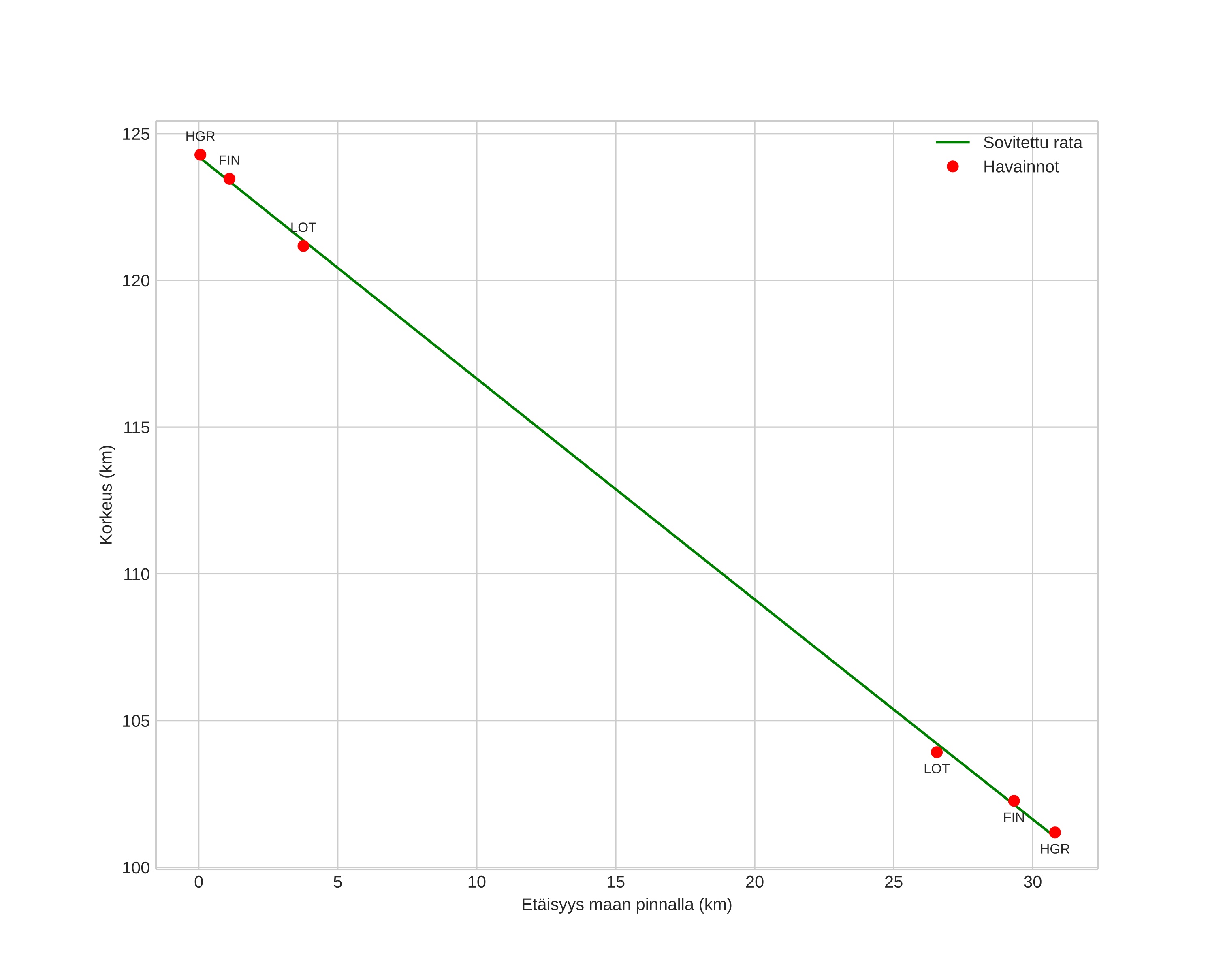
height profile
Meteorin ilmakehärata:
Alkukorkeus: 124,2 km
Loppukorkeus: 101,1 km
Alkupiste: 61,764N 16,724E
Loppupiste: 61,856N 16,173E
Suunta: 289,8°
Kallistuskulma: 36,9°
Tulonopeus: 77,6 km/s
Radiantin R,A,: 10:27 (156,8°)
Radiantin Dekl,: 23,5°
Meteoriparvi: Leonidit
Meteoroidin rataelementit:
Perihelietäisyys: 0,979 AU
Eksentrisyys: 1,544
Inklinaatio: 159,0°
Nousevan solmun pituus: 235,6°
Perihelin argumentti: 169,9°
Keskianomalia: 2,6°
Epookki: 2025 NOV 18 01:51:54
orbit plot

Ei-interaktiivinen kuvaaja

position vs time
speed and acceleration

Finnskogen (FIN) cam2


gnomonic
Videot:
• Gnomoninen
• Gnomoninen koordinaateilla
• Alkuperäinen
• Alkuperäinen (HEVC)
• Alkuperäinen koordinaateilla
Kuvat:
• Gnomoninen
• Gnomoninen koordinaateilla
• Alkuperäinen
• Alkuperäinen koordinaateilla
Tekstitiedostot:
• Havaintoraportti
• Observaatio
• Koordinaatit
• Loki
Kirkkaus

Hagar (HGR) cam3


gnomonic
Videot:
• Gnomoninen
• Gnomoninen koordinaateilla
• Alkuperäinen
• Alkuperäinen (HEVC)
• Alkuperäinen koordinaateilla
Kuvat:
• Gnomoninen
• Gnomoninen koordinaateilla
• Alkuperäinen
• Alkuperäinen koordinaateilla
Tekstitiedostot:
• Havaintoraportti
• Observaatio
• Koordinaatit
• Loki
Kirkkaus

Loten (LOT) cam2


gnomonic
Videot:
• Gnomoninen
• Gnomoninen koordinaateilla
• Alkuperäinen
• Alkuperäinen (HEVC)
• Alkuperäinen koordinaateilla
Kuvat:
• Gnomoninen
• Gnomoninen koordinaateilla
• Alkuperäinen
• Alkuperäinen koordinaateilla
Tekstitiedostot:
• Havaintoraportti
• Observaatio
• Koordinaatit
• Loki
Kirkkaus