🇳🇴 🇬🇧 🇩🇪 🇨🇿 🇫🇮

Meteor over Geta 2025-11-18 02:10:21 UTC

KML-fil  |  Interaktivt kart

Kartet viser peilingene for meteoren. De lysere linjene viser retningene fra observasjonsstedene for meteorens tilsynekomst, og de mørkere linjene viser hvor den sist kunne sees. Den blå pila viser meteorens synlige ferd.

static map
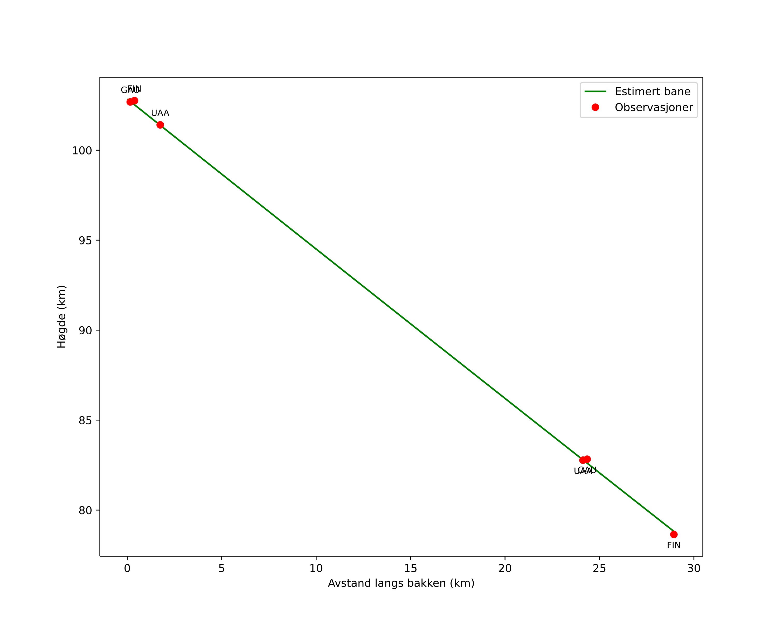
height profile
Meteorens atmosfæriske bane:
Starthøgde: 103,0 km
Slutthøgde: 79,1 km
Startposisjon: 61,536N 19,828E
Sluttposisjon: 61,678N 19,369E
Retning: 303,3°
Fallvinkel: 39,5°
Inngangshastighet: 66,8 km/s
Radiantens rektascensjon: 10:11 (153,0°)
Radiantens deklinasjon: 20,7°
Meteorsverm: Leonidene
Meteoroidens baneelement:
Perihelavstand: 0,985 AU
Eksentrisitet: 0,465
Inklinasjon: 163,6°
Knutelengde: 235,6°
Perihelargument: 171,2°
Midlere anomali: 2,9°
Epoke: 2025 NOV 18 02:10:21
orbit plot

Ikke-interaktivt plott | Interaktivt plott

position vs time
speed and acceleration

Finnskogen (FIN) cam2


gnomonic
Videoer
• Gnomonisk
• Gnomonisk med koordinater
• Original
• Original med koordinater
Bilder
• Gnomonisk
• Gnomonisk med koordinater
• Original
• Original med koordinater
Tekstfiler
• Deteksjon
• Observasjon
• Koordinater
• Logg
Lysstyrke

Gaustatoppen (GAU) cam2


gnomonic
Videoer
• Gnomonisk
• Gnomonisk med koordinater
• Original
• Original med koordinater
Bilder
• Gnomonisk
• Gnomonisk med koordinater
• Original
• Original med koordinater
Tekstfiler
• Deteksjon
• Observasjon
• Koordinater
• Logg
Lysstyrke