🇳🇴 🇬🇧 🇩🇪 🇨🇿 🇫🇮

Meteor Köpmanholmenin yllä 2025-11-18 02:14:39 UTC

KML-tiedosto  |  Interaktiivinen kartta

Kartta näyttää meteorin suuntahavainnot. Vaaleammat viivat näyttävät suunnat havaintoasemilta meteorin ilmestyessä, ja tummemmat viivat näyttävät, missä se viimeksi nähtiin. Sininen nuoli näyttää meteorin näkyvän lennon.

static map
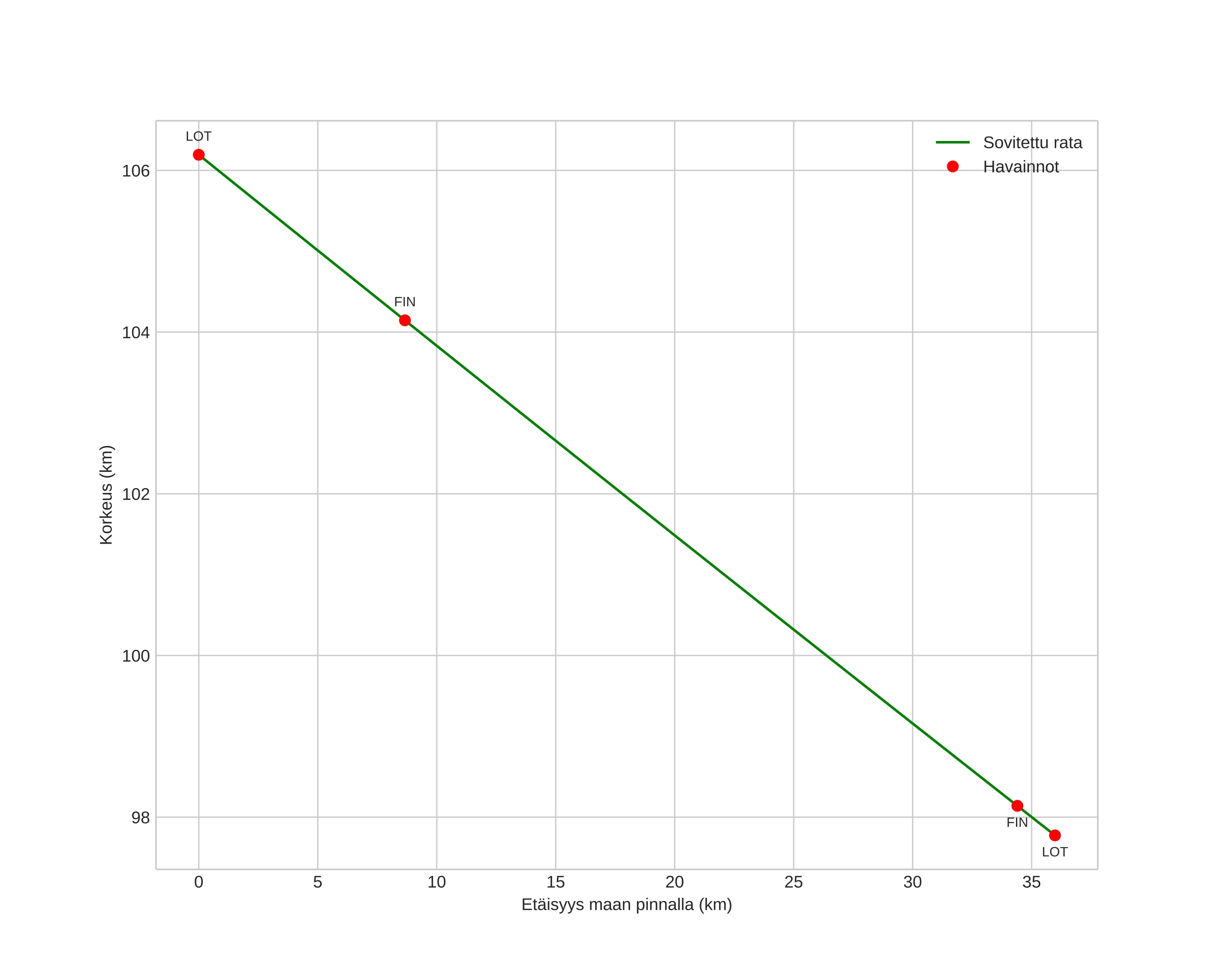
height profile
Meteorin ilmakehärata:
Alkukorkeus: 116,7 km
Loppukorkeus: 101,7 km
Alkupiste: 62,116N 18,777E
Loppupiste: 62,327N 18,791E
Suunta: 1,7°
Kallistuskulma: 32,6°
Tulonopeus: 57,5 km/s
Radiantin R,A,: 07:10 (107,7°)
Radiantin Dekl,: 4,2°
Meteoriparvi: alpha-monocerotidene
Meteoroidin rataelementit:
Perihelietäisyys: 0,270 AU
Eksentrisyys: 0,921
Inklinaatio: 125,9°
Nousevan solmun pituus: 55,6°
Perihelin argumentti: 121,1°
Keskianomalia: 354,1°
Epookki: 2025 NOV 18 02:14:39
orbit plot

Ei-interaktiivinen kuvaaja | Interaktiivinen kuvaaja

position vs time
speed and acceleration

Finnskogen (FIN) cam2


gnomonic
Videot:
• Gnomoninen
• Gnomoninen koordinaateilla
• Alkuperäinen
• Alkuperäinen koordinaateilla
Kuvat:
• Gnomoninen
• Gnomoninen koordinaateilla
• Alkuperäinen
• Alkuperäinen koordinaateilla
Tekstitiedostot:
• Havaintoraportti
• Observaatio
• Koordinaatit
• Loki
Kirkkaus

Loten (LOT) cam2


gnomonic
Videot:
• Gnomoninen
• Gnomoninen koordinaateilla
• Alkuperäinen
• Alkuperäinen koordinaateilla
Kuvat:
• Gnomoninen
• Gnomoninen koordinaateilla
• Alkuperäinen
• Alkuperäinen koordinaateilla
Tekstitiedostot:
• Havaintoraportti
• Observaatio
• Koordinaatit
• Loki
Kirkkaus