🇳🇴 🇬🇧 🇩🇪 🇨🇿 🇫🇮

Meteor over Tanumshede 2025-11-18 02:46:35 UTC

KML-fil  |  Interaktivt kart

Kartet viser peilingene for meteoren. De lysere linjene viser retningene fra observasjonsstedene for meteorens tilsynekomst, og de mørkere linjene viser hvor den sist kunne sees. Den blå pila viser meteorens synlige ferd.

static map
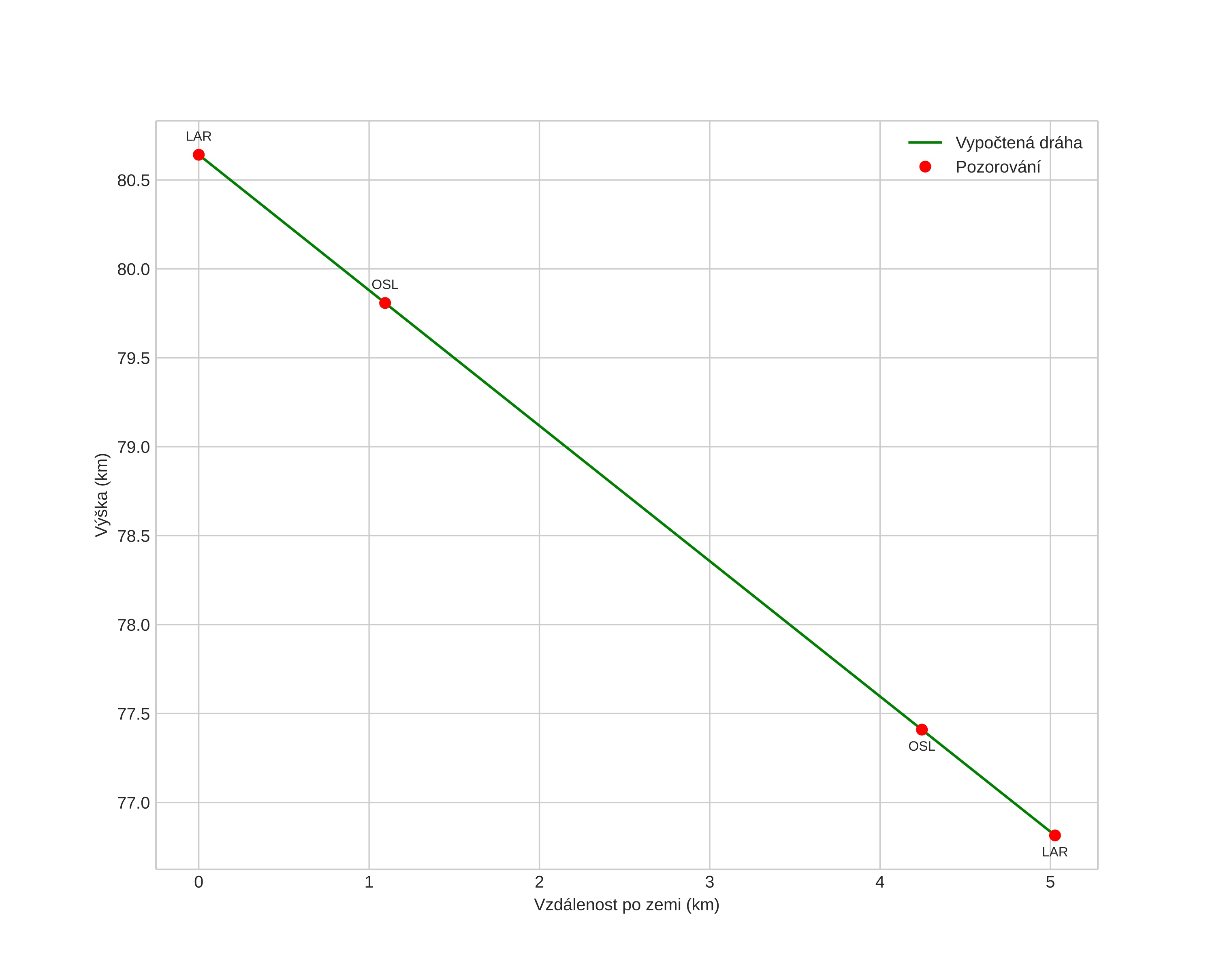
height profile
Meteorens atmosfæriske bane:
Starthøgde: 81,0 km
Slutthøgde: 76,7 km
Startposisjon: 58,721N 11,382E
Sluttposisjon: 58,715N 11,470E
Retning: 98,2°
Fallvinkel: 40,1°
Inngangshastighet: 25,4 km/s
Radiantens rektascensjon: 02:21 (35,3°)
Radiantens deklinasjon: 34,7°
Meteorsverm: sporadisk
Meteoroidens baneelement:
Perihelavstand: 0,705 AU
Eksentrisitet: 0,929
Inklinasjon: 12,7°
Knutelengde: 235,6°
Perihelargument: 246,2°
Midlere anomali: 358,9°
Epoke: 2025 NOV 18 02:46:35
orbit plot

Ikke-interaktivt plott | Interaktivt plott

position vs time
speed and acceleration

Larvik (LAR) cam3


gnomonic
Videoer
• Gnomonisk
• Gnomonisk med koordinater
• Original
• Original med koordinater
Bilder
• Gnomonisk
• Gnomonisk med koordinater
• Original
• Original med koordinater
Tekstfiler
• Deteksjon
• Observasjon
• Koordinater
• Logg
Lysstyrke

Voksenlia (OSL) cam3


gnomonic
Videoer
• Gnomonisk
• Gnomonisk med koordinater
• Original
• Original med koordinater
Bilder
• Gnomonisk
• Gnomonisk med koordinater
• Original
• Original med koordinater
Tekstfiler
• Deteksjon
• Observasjon
• Koordinater
• Logg
Lysstyrke