🇳🇴 🇬🇧 🇩🇪 🇨🇿 🇫🇮

Meteor over Tanumshede 2025-11-18 02:46:35 UTC

KML-fil

Kartet viser peilingene for meteoren. De lysere linjene viser retningene fra observasjonsstedene for meteorens tilsynekomst, og de mørkere linjene viser hvor den sist kunne sees. Den blå pila viser meteorens synlige ferd.

static map
height profile
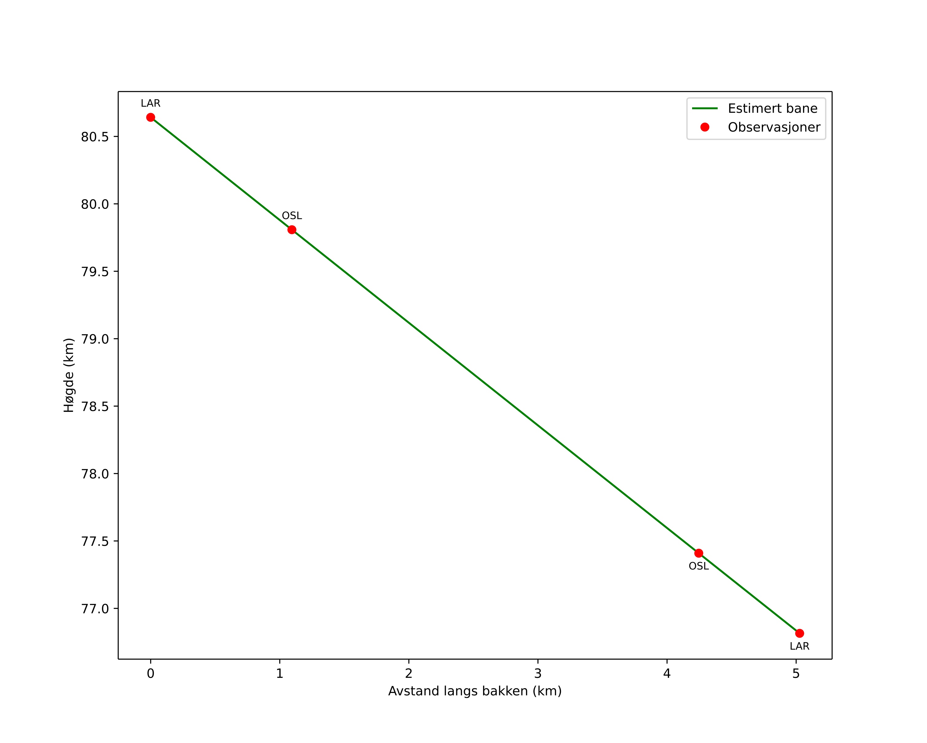
Meteorens atmosfæriske bane:
Starthøgde: 80,6 km
Slutthøgde: 76,8 km
Startposisjon: 58,723N 11,376E
Sluttposisjon: 58,716N 11,462E
Retning: 99,3°
Fallvinkel: 37,1°
Inngangshastighet: 25,4 km/s
Radiantens rektascensjon: 02:08 (32,1°)
Radiantens deklinasjon: 32,7°
Meteorsverm: sporadisk
Meteoroidens baneelement:
Perihelavstand: 0,730 AU
Eksentrisitet: 0,991
Inklinasjon: 11,7°
Knutelengde: 235,6°
Perihelargument: 241,7°
Midlere anomali: 360,0°
Epoke: 2025 NOV 18 02:46:35
orbit plot

Ikke-interaktivt plott

position vs time
speed and acceleration

Larvik (LAR) cam3


gnomonic
Videoer
• Gnomonisk
• Gnomonisk med koordinater
• Original
• Original (HEVC)
• Original med koordinater
Bilder
• Gnomonisk
• Gnomonisk med koordinater
• Original
• Original med koordinater
Tekstfiler
• Deteksjon
• Observasjon
• Koordinater
• Logg
Lysstyrke

Voksenlia (OSL) cam3


gnomonic
Videoer
• Gnomonisk
• Gnomonisk med koordinater
• Original
• Original (HEVC)
• Original med koordinater
Bilder
• Gnomonisk
• Gnomonisk med koordinater
• Original
• Original med koordinater
Tekstfiler
• Deteksjon
• Observasjon
• Koordinater
• Logg
Lysstyrke