🇳🇴 🇬🇧 🇩🇪 🇨🇿 🇫🇮

Meteor über Smögen 2025-11-18 02:55:50 UTC

KML-Datei

Die Karte zeigt die Peilungen für den Meteor. Die helleren Linien zeigen die Richtungen von den Beobachtungsorten beim Erscheinen des Meteors, und die dunkleren Linien, wo er zuletzt gesehen wurde. Der blaue Pfeil zeigt die sichtbare Bahn des Meteors.

static map
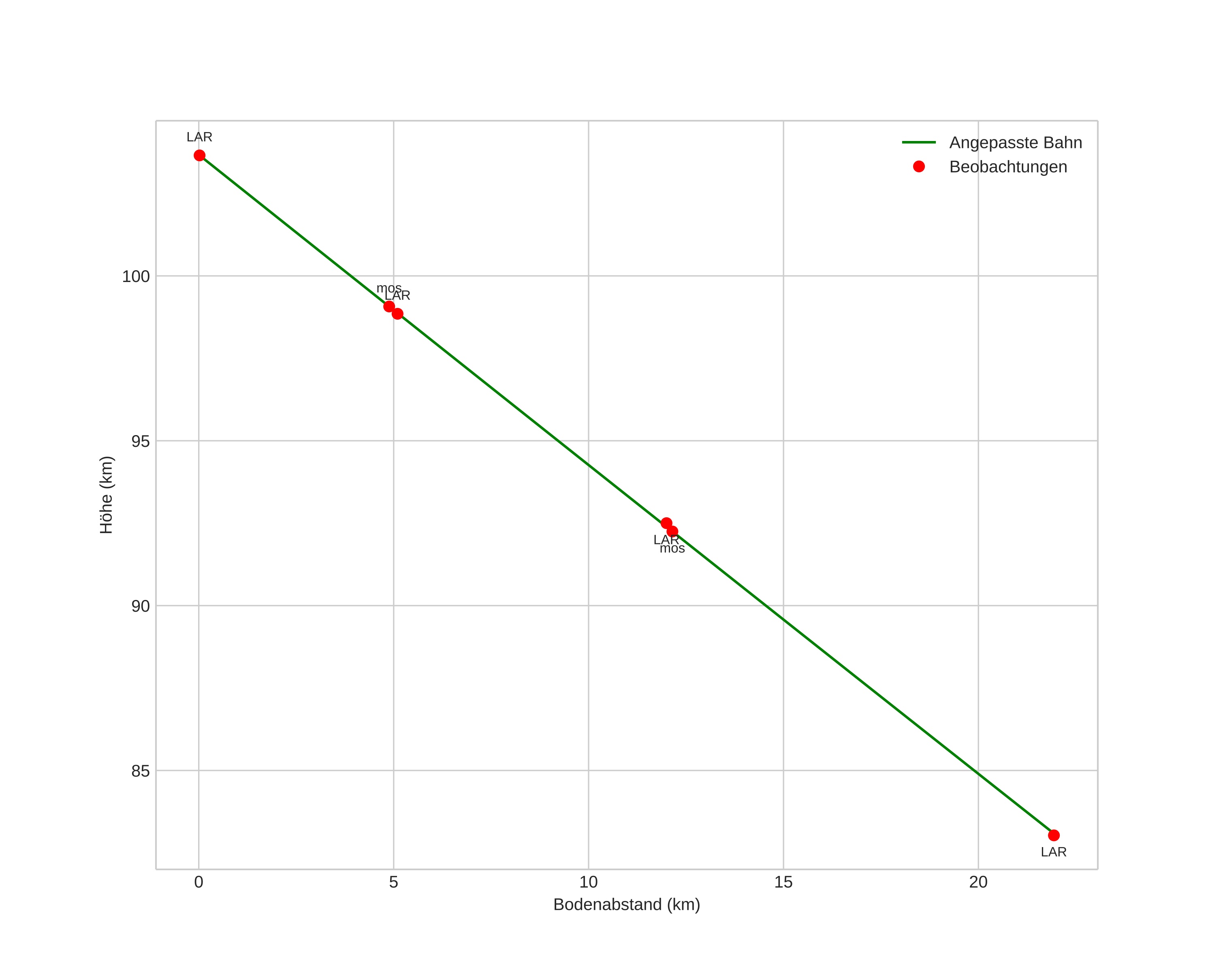
height profile
Atmosphärische Bahn des Meteors:
Anfangshöhe: 103,7 km
Endhöhe: 83,1 km
Startposition: 58,002N 10,589E
Endposition: 58,109N 10,903E
Richtung: 57,1°
Neigungswinkel: 43,2°
Eintrittsgeschwindigkeit: 36,8 km/s
Rektaszension des Radianten: 04:37 (69,4°)
Deklination des Radianten: 20,5°
Meteorstrom: sporadisch
Bahnelemente des Meteoroiden:
Periheldistanz: 0,249 AU
Exzentrizität: 0,951
Inklination: 2,7°
Länge des aufsteigenden Knotens: 55,7°
Argument des Perihels: 122,2°
Mittlere Anomalie: 356,9°
Epoche: 2025 NOV 18 02:55:50
orbit plot

Nicht-interaktives Diagramm

position vs time
speed and acceleration

Larvik (LAR) cam3


gnomonic
Videos
• Gnomonisch
• Gnomonisch mit Koordinaten
• Original
• Original (HEVC)
• Original mit Koordinaten
Bilder
• Gnomonisch
• Gnomonisch mit Koordinaten
• Original
• Original mit Koordinaten
Textdateien
• Erkennung
• Beobachtung
• Koordinaten
• Protokoll
Helligkeit

Larvik (LAR) cam4


gnomonic
Videos
• Gnomonisch
• Gnomonisch mit Koordinaten
• Original
• Original (HEVC)
• Original mit Koordinaten
Bilder
• Gnomonisch
• Gnomonisch mit Koordinaten
• Original
• Original mit Koordinaten
Textdateien
• Erkennung
• Beobachtung
• Koordinaten
• Protokoll
Helligkeit

Moss (mos) cam4


gnomonic
Videos
• Gnomonisch
• Gnomonisch mit Koordinaten
• Original
• Original (HEVC)
• Original mit Koordinaten
Bilder
• Gnomonisch
• Gnomonisch mit Koordinaten
• Original
• Original mit Koordinaten
Textdateien
• Erkennung
• Beobachtung
• Koordinaten
• Protokoll
Helligkeit