🇳🇴 🇬🇧 🇩🇪 🇨🇿 🇫🇮

Meteor über Våler 2025-11-18 03:01:21 UTC

KML-Datei

Die Karte zeigt die Peilungen für den Meteor. Die helleren Linien zeigen die Richtungen von den Beobachtungsorten beim Erscheinen des Meteors, und die dunkleren Linien, wo er zuletzt gesehen wurde. Der blaue Pfeil zeigt die sichtbare Bahn des Meteors.

static map
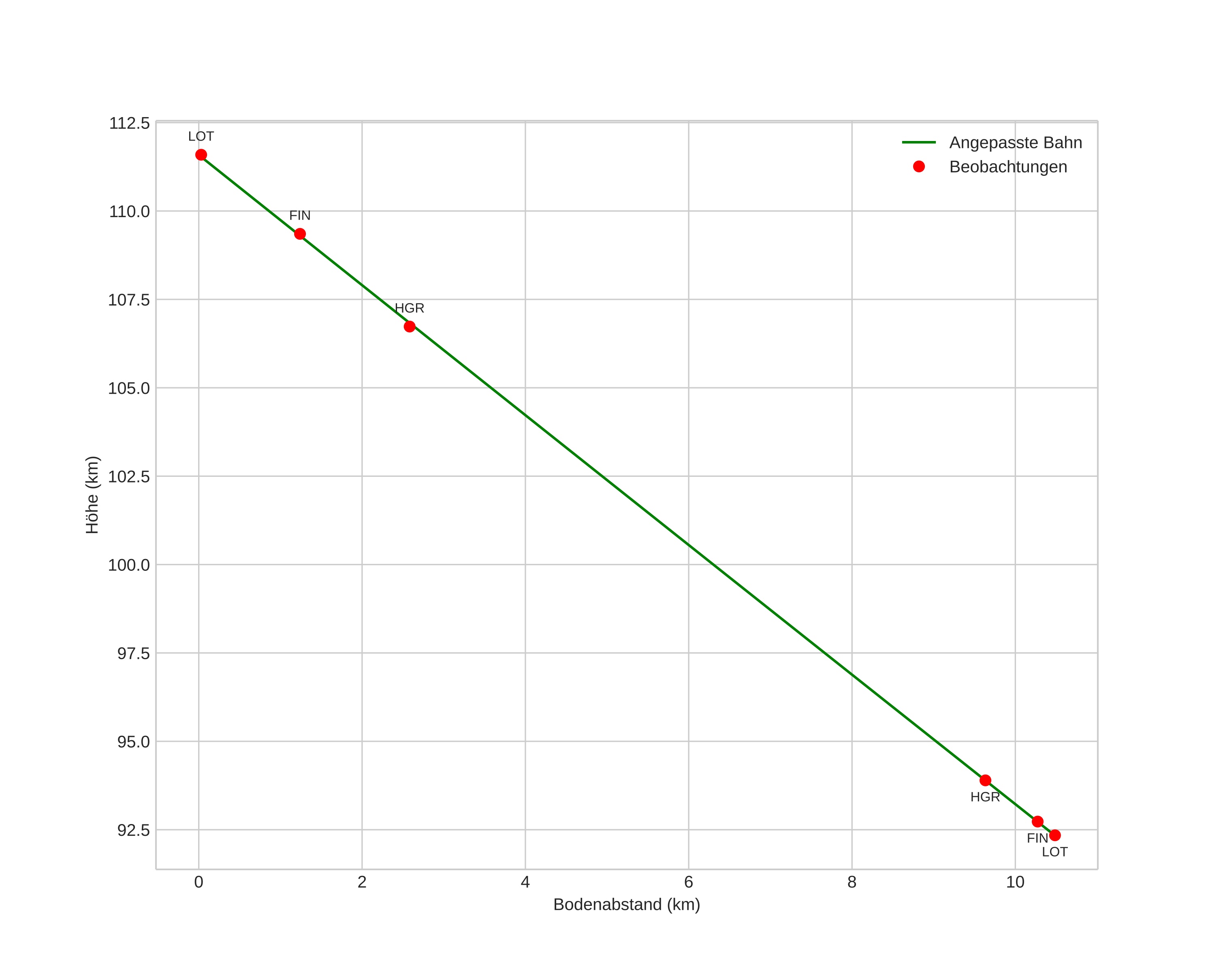
height profile
Atmosphärische Bahn des Meteors:
Anfangshöhe: 111,6 km
Endhöhe: 92,3 km
Startposition: 60,628N 11,980E
Endposition: 60,717N 11,912E
Richtung: 339,4°
Neigungswinkel: 61,5°
Eintrittsgeschwindigkeit: 66,0 km/s
Rektaszension des Radianten: 08:22 (125,6°)
Deklination des Radianten: 32,9°
Meteorstrom: sporadisch
Bahnelemente des Meteoroiden:
Periheldistanz: 0,534 AU
Exzentrizität: 0,949
Inklination: 151,3°
Länge des aufsteigenden Knotens: 235,7°
Argument des Perihels: 266,8°
Mittlere Anomalie: 358,9°
Epoche: 2025 NOV 18 03:01:21
orbit plot

Nicht-interaktives Diagramm

position vs time
speed and acceleration

Finnskogen (FIN) cam7


gnomonic
Videos
• Gnomonisch
• Gnomonisch mit Koordinaten
• Original
• Original (HEVC)
• Original mit Koordinaten
Bilder
• Gnomonisch
• Gnomonisch mit Koordinaten
• Original
• Original mit Koordinaten
Textdateien
• Erkennung
• Beobachtung
• Koordinaten
• Protokoll
Helligkeit

Hagar (HGR) cam7


gnomonic
Videos
• Gnomonisch
• Gnomonisch mit Koordinaten
• Original
• Original (HEVC)
• Original mit Koordinaten
Bilder
• Gnomonisch
• Gnomonisch mit Koordinaten
• Original
• Original mit Koordinaten
Textdateien
• Erkennung
• Beobachtung
• Koordinaten
• Protokoll
Helligkeit

Loten (LOT) cam7


gnomonic
Videos
• Gnomonisch
• Gnomonisch mit Koordinaten
• Original
• Original (HEVC)
• Original mit Koordinaten
Bilder
• Gnomonisch
• Gnomonisch mit Koordinaten
• Original
• Original mit Koordinaten
Textdateien
• Erkennung
• Beobachtung
• Koordinaten
• Protokoll
Helligkeit