🇳🇴 🇬🇧 🇩🇪 🇨🇿 🇫🇮

Meteor over Harboøre 2025-11-18 03:38:58 UTC

KML-fil

Kartet viser peilingene for meteoren. De lysere linjene viser retningene fra observasjonsstedene for meteorens tilsynekomst, og de mørkere linjene viser hvor den sist kunne sees. Den blå pila viser meteorens synlige ferd.

static map
height profile
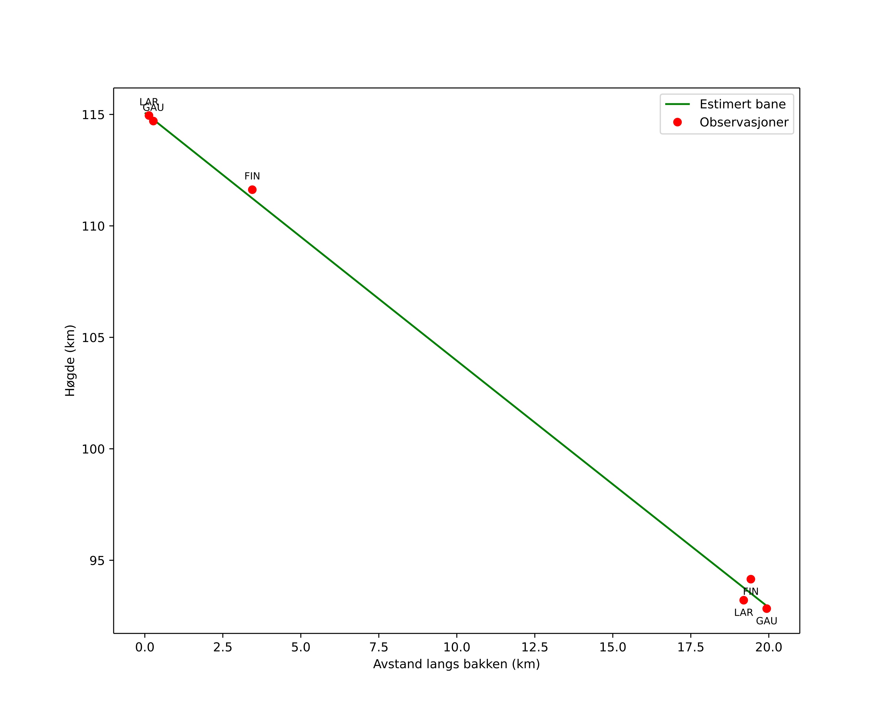
Meteorens atmosfæriske bane:
Starthøgde: 115,1 km
Slutthøgde: 92,9 km
Startposisjon: 56,361N 7,958E
Sluttposisjon: 56,465N 7,693E
Retning: 305,3°
Fallvinkel: 48,0°
Inngangshastighet: 65,7 km/s
Radiantens rektascensjon: 10:25 (156,3°)
Radiantens deklinasjon: 23,7°
Meteorsverm: Leonidene
Meteoroidens baneelement:
Perihelavstand: 0,972 AU
Eksentrisitet: 0,448
Inklinasjon: 156,4°
Knutelengde: 235,7°
Perihelargument: 161,3°
Midlere anomali: 6,4°
Epoke: 2025 NOV 18 03:38:58
orbit plot

Ikke-interaktivt plott

position vs time
speed and acceleration

Finnskogen (FIN) cam4


gnomonic
Videoer
• Gnomonisk
• Gnomonisk med koordinater
• Original
• Original (HEVC)
• Original med koordinater
Bilder
• Gnomonisk
• Gnomonisk med koordinater
• Original
• Original med koordinater
Tekstfiler
• Deteksjon
• Observasjon
• Koordinater
• Logg
Lysstyrke

Gaustatoppen (GAU) cam4


gnomonic
Videoer
• Gnomonisk
• Gnomonisk med koordinater
• Original
• Original (HEVC)
• Original med koordinater
Bilder
• Gnomonisk
• Gnomonisk med koordinater
• Original
• Original med koordinater
Tekstfiler
• Deteksjon
• Observasjon
• Koordinater
• Logg
Lysstyrke

Larvik (LAR) cam4


gnomonic
Videoer
• Gnomonisk
• Gnomonisk med koordinater
• Original
• Original (HEVC)
• Original med koordinater
Bilder
• Gnomonisk
• Gnomonisk med koordinater
• Original
• Original med koordinater
Tekstfiler
• Deteksjon
• Observasjon
• Koordinater
• Logg
Lysstyrke