🇳🇴 🇬🇧 🇩🇪 🇨🇿 🇫🇮

Meteor Tvedestrandin yllä 2025-11-18 04:10:27 UTC

KML-tiedosto  |  Interaktiivinen kartta

Kartta näyttää meteorin suuntahavainnot. Vaaleammat viivat näyttävät suunnat havaintoasemilta meteorin ilmestyessä, ja tummemmat viivat näyttävät, missä se viimeksi nähtiin. Sininen nuoli näyttää meteorin näkyvän lennon.

static map
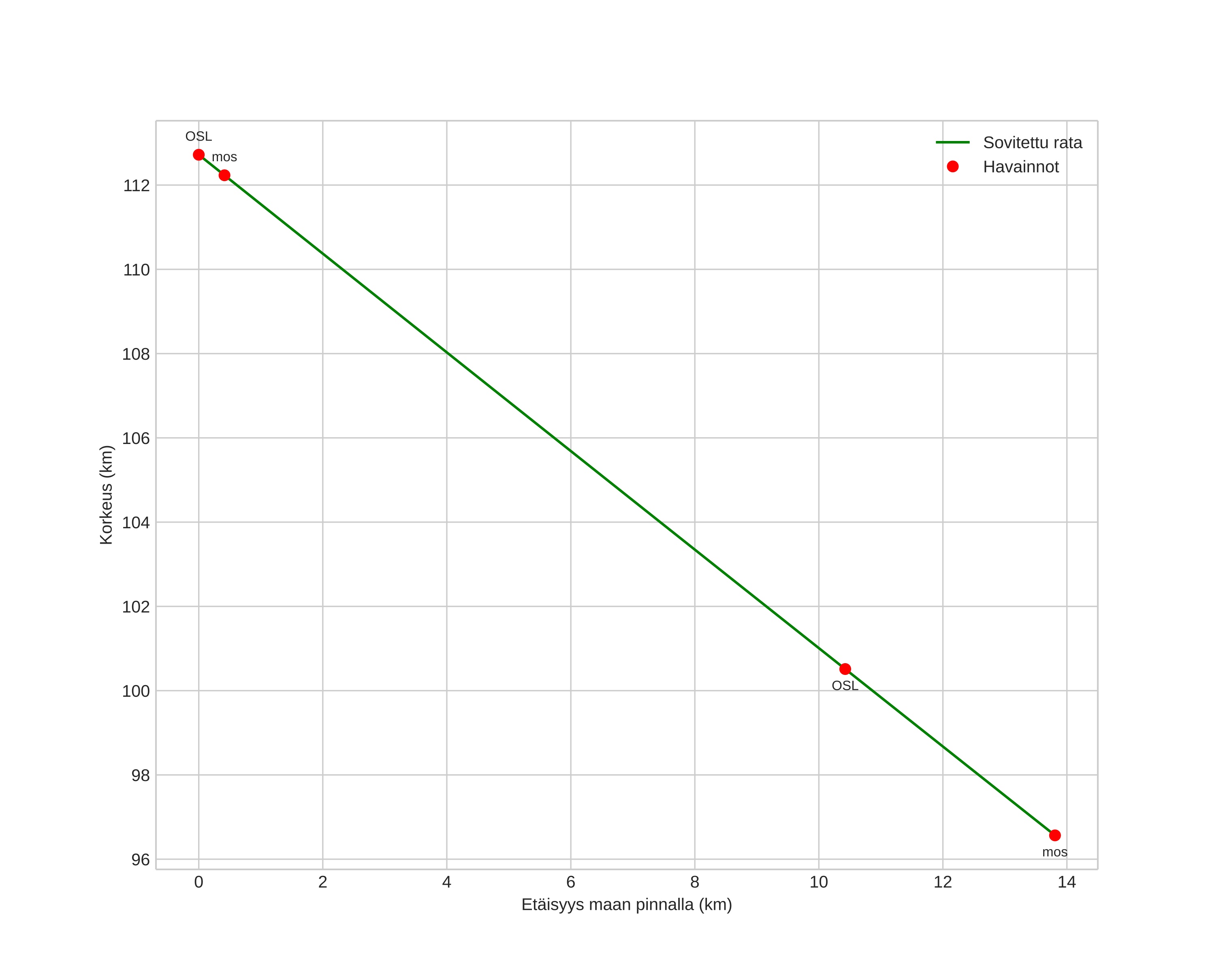
height profile
Meteorin ilmakehärata:
Alkukorkeus: 113,2 km
Loppukorkeus: 97,5 km
Alkupiste: 58,259N 9,253E
Loppupiste: 58,355N 9,128E
Suunta: 325,7°
Kallistuskulma: 50,5°
Tulonopeus: 73,0 km/s
Radiantin R,A,: 10:06 (151,5°)
Radiantin Dekl,: 22,1°
Meteoriparvi: Leonidit
Meteoroidin rataelementit:
Perihelietäisyys: 0,989 AU
Eksentrisyys: 1,029
Inklinaatio: 163,4°
Nousevan solmun pituus: 235,7°
Perihelin argumentti: 180,9°
Keskianomalia: -0,0°
Epookki: 2025 NOV 18 04:10:27
orbit plot

Ei-interaktiivinen kuvaaja | Interaktiivinen kuvaaja

position vs time
speed and acceleration

Moss (mos) cam7


gnomonic
Videot:
• Gnomoninen
• Gnomoninen koordinaateilla
• Alkuperäinen
• Alkuperäinen koordinaateilla
Kuvat:
• Gnomoninen
• Gnomoninen koordinaateilla
• Alkuperäinen
• Alkuperäinen koordinaateilla
Tekstitiedostot:
• Havaintoraportti
• Observaatio
• Koordinaatit
• Loki
Kirkkaus

Voksenlia (OSL) cam3


gnomonic
Videot:
• Gnomoninen
• Gnomoninen koordinaateilla
• Alkuperäinen
• Alkuperäinen koordinaateilla
Kuvat:
• Gnomoninen
• Gnomoninen koordinaateilla
• Alkuperäinen
• Alkuperäinen koordinaateilla
Tekstitiedostot:
• Havaintoraportti
• Observaatio
• Koordinaatit
• Loki
Kirkkaus