🇳🇴 🇬🇧 🇩🇪 🇨🇿 🇫🇮

Meteor over Blakstad 2025-11-18 04:21:19 UTC

KML-fil  |  Interaktivt kart

Kartet viser peilingene for meteoren. De lysere linjene viser retningene fra observasjonsstedene for meteorens tilsynekomst, og de mørkere linjene viser hvor den sist kunne sees. Den blå pila viser meteorens synlige ferd.

static map
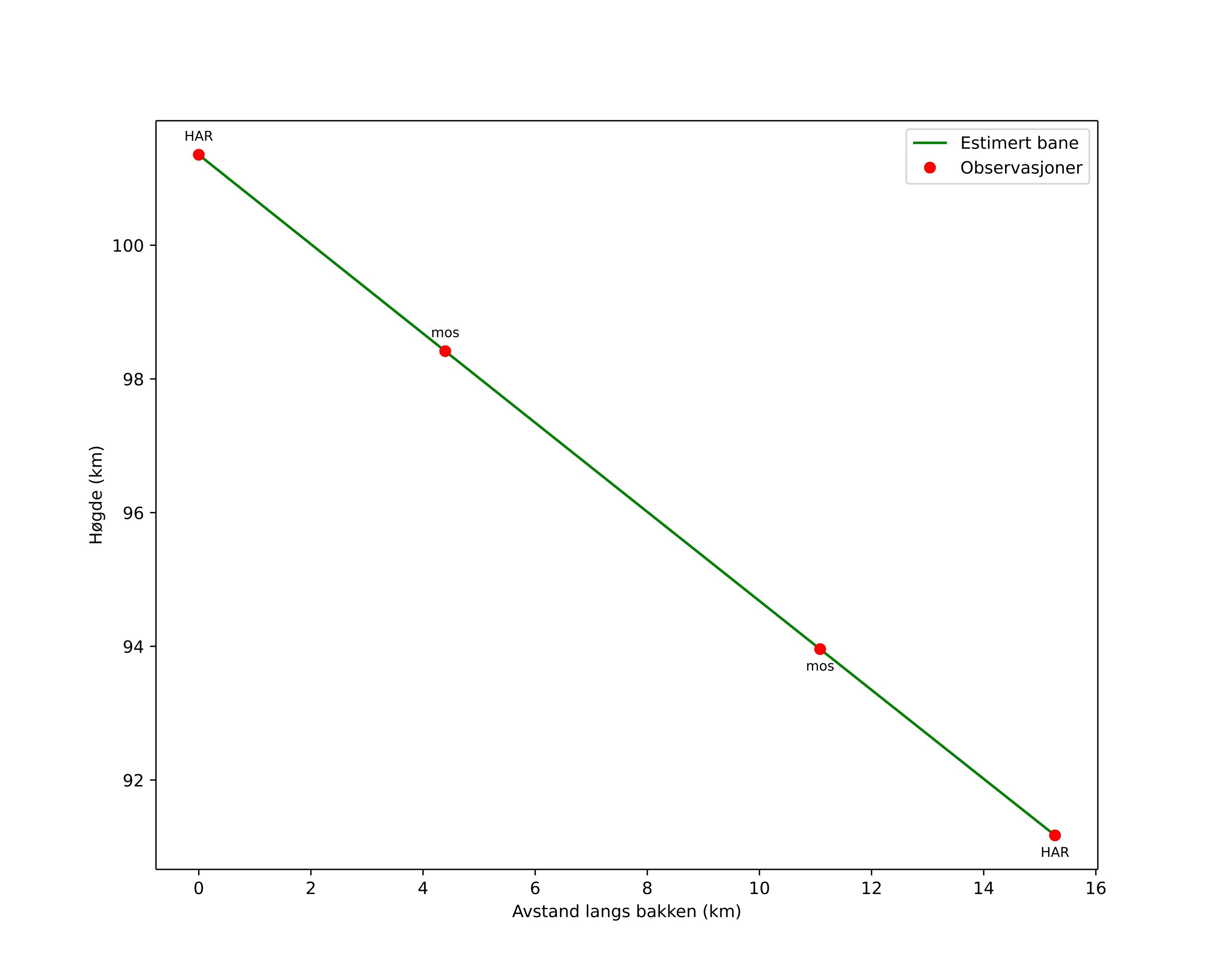
height profile
Meteorens atmosfæriske bane:
Starthøgde: 101,2 km
Slutthøgde: 91,8 km
Startposisjon: 59,768N 10,250E
Sluttposisjon: 59,800N 10,495E
Retning: 75,3°
Fallvinkel: 33,6°
Inngangshastighet: 43,5 km/s
Radiantens rektascensjon: 04:46 (71,7°)
Radiantens deklinasjon: 20,7°
Meteorsverm: sporadisk
Meteoroidens baneelement:
Perihelavstand: 0,169 AU
Eksentrisitet: 1,034
Inklinasjon: 3,9°
Knutelengde: 55,8°
Perihelargument: 129,0°
Midlere anomali: -2,8°
Epoke: 2025 NOV 18 04:21:19
orbit plot

Ikke-interaktivt plott | Interaktivt plott

position vs time
speed and acceleration

Harestua (HAR) cam7


gnomonic
Videoer
• Gnomonisk
• Gnomonisk med koordinater
• Original
• Original med koordinater
Bilder
• Gnomonisk
• Gnomonisk med koordinater
• Original
• Original med koordinater
Tekstfiler
• Deteksjon
• Observasjon
• Koordinater
• Logg
Lysstyrke

Moss (mos) cam6


gnomonic
Videoer
• Gnomonisk
• Gnomonisk med koordinater
• Original
• Original med koordinater
Bilder
• Gnomonisk
• Gnomonisk med koordinater
• Original
• Original med koordinater
Tekstfiler
• Deteksjon
• Observasjon
• Koordinater
• Logg
Lysstyrke