🇳🇴 🇬🇧 🇩🇪 🇨🇿 🇫🇮

Meteor, poloha: Engerdal 2025-11-18 04:46:52 UTC

Soubor KML  |  Interaktivní mapa

Mapa zobrazuje dráhy meteoru. Světlejší čáry ukazují směry od pozorovacích stanic při objevení se meteoru a tmavší čáry, kde byl naposledy viděn. Modrá šipka značí viditelnou dráhu meteoru.

static map
height profile
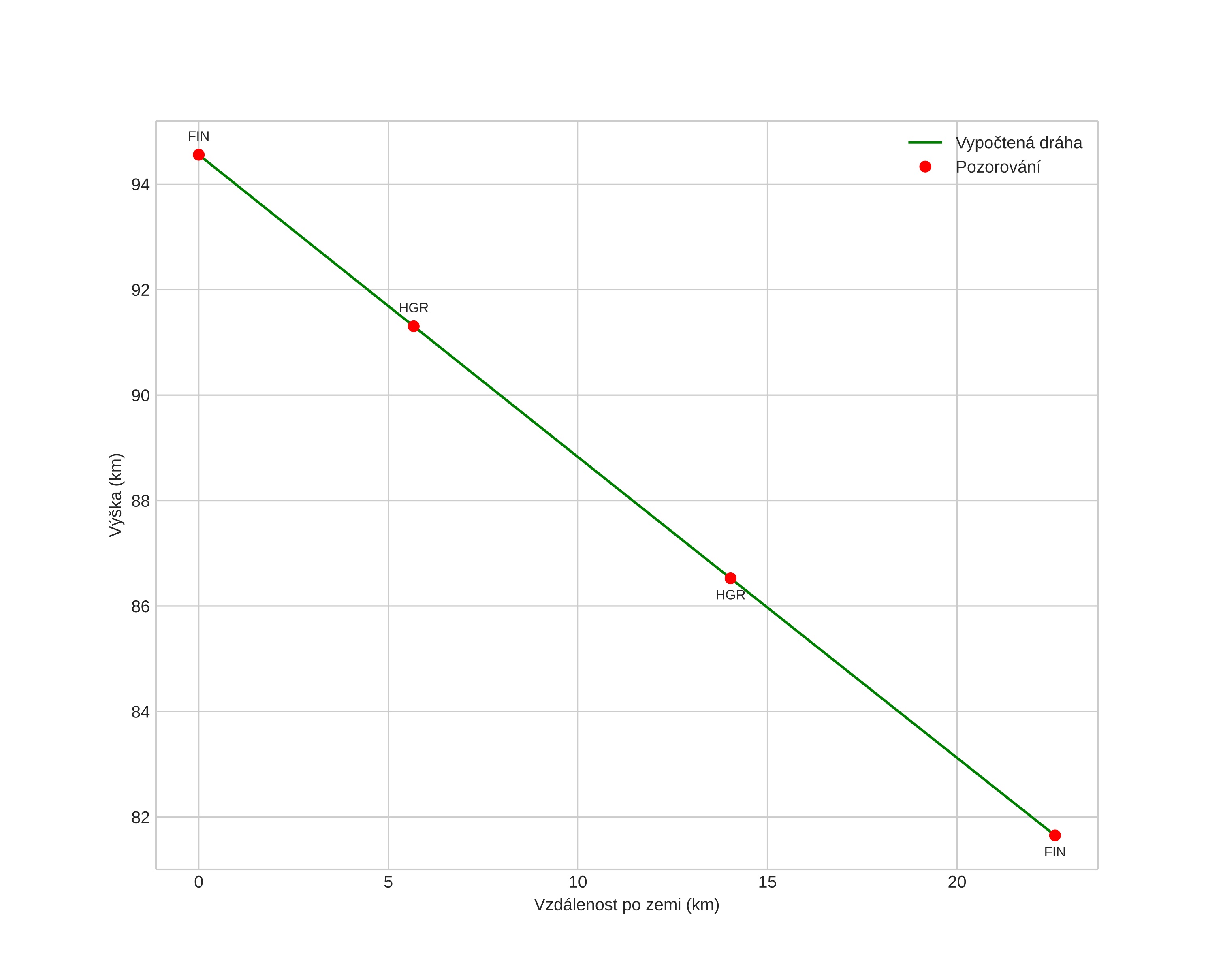
Atmosférická dráha meteoru:
Počáteční výška: 96,6 km
Konečná výška: 86,7 km
Počáteční poloha: 61,719N 11,937E
Konečná poloha: 61,751N 12,354E
Směr: 80,6°
Sklon: 24,0°
Vstupní rychlost: 28,6 km/s
Rektascenze radiantu: 04:35 (68,9°)
Deklinace radiantu: 13,9°
Meteorický roj: Jižní Tauridy
Elementy dráhy meteoroidu:
Vzdálenost v periheliu: 0,363 AU
Excentricita: 0,782
Sklon dráhy: 8,9°
Délka vzestupného uzlu: 55,8°
Argument perihelia: 116,2°
Střední anomálie: 339,6°
Epocha: 2025 NOV 18 04:46:52
orbit plot

Neinteraktivní graf | Interaktivní graf

position vs time
speed and acceleration