🇳🇴 🇬🇧 🇩🇪 🇨🇿 🇫🇮

Meteor Bagnin yllä 2025-11-18 05:15:08 UTC

KML-tiedosto

Kartta näyttää meteorin suuntahavainnot. Vaaleammat viivat näyttävät suunnat havaintoasemilta meteorin ilmestyessä, ja tummemmat viivat näyttävät, missä se viimeksi nähtiin. Sininen nuoli näyttää meteorin näkyvän lennon.

static map
height profile
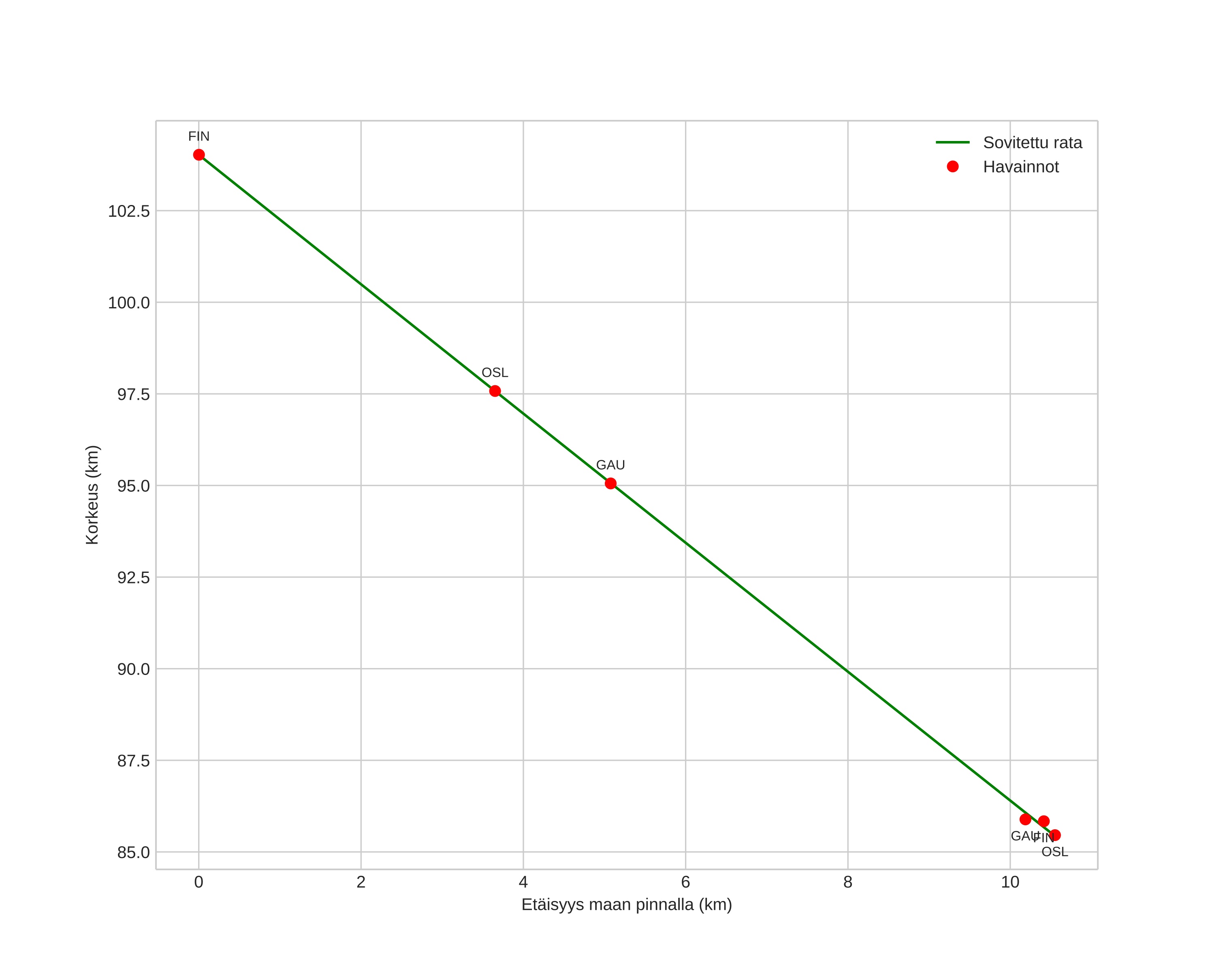
Meteorin ilmakehärata:
Alkukorkeus: 104,0 km
Loppukorkeus: 85,5 km
Alkupiste: 60,662N 9,802E
Loppupiste: 60,734N 9,677E
Suunta: 319,9°
Kallistuskulma: 60,3°
Tulonopeus: 67,8 km/s
Radiantin R,A,: 11:13 (168,3°)
Radiantin Dekl,: 34,8°
Meteoriparvi: Sporadinen
Meteoroidin rataelementit:
Perihelietäisyys: 0,946 AU
Eksentrisyys: 1,033
Inklinaatio: 133,1°
Nousevan solmun pituus: 235,8°
Perihelin argumentti: 156,2°
Keskianomalia: 0,1°
Epookki: 2025 NOV 18 05:15:08
orbit plot

Ei-interaktiivinen kuvaaja

position vs time
speed and acceleration

Finnskogen (FIN) cam5


gnomonic
Videot:
• Gnomoninen
• Gnomoninen koordinaateilla
• Alkuperäinen
• Alkuperäinen (HEVC)
• Alkuperäinen koordinaateilla
Kuvat:
• Gnomoninen
• Gnomoninen koordinaateilla
• Alkuperäinen
• Alkuperäinen koordinaateilla
Tekstitiedostot:
• Havaintoraportti
• Observaatio
• Koordinaatit
• Loki
Kirkkaus

Gaustatoppen (GAU) cam2


gnomonic
Videot:
• Gnomoninen
• Gnomoninen koordinaateilla
• Alkuperäinen
• Alkuperäinen (HEVC)
• Alkuperäinen koordinaateilla
Kuvat:
• Gnomoninen
• Gnomoninen koordinaateilla
• Alkuperäinen
• Alkuperäinen koordinaateilla
Tekstitiedostot:
• Havaintoraportti
• Observaatio
• Koordinaatit
• Loki
Kirkkaus

Voksenlia (OSL) cam1


gnomonic
Videot:
• Gnomoninen
• Gnomoninen koordinaateilla
• Alkuperäinen
• Alkuperäinen (HEVC)
• Alkuperäinen koordinaateilla
Kuvat:
• Gnomoninen
• Gnomoninen koordinaateilla
• Alkuperäinen
• Alkuperäinen koordinaateilla
Tekstitiedostot:
• Havaintoraportti
• Observaatio
• Koordinaatit
• Loki
Kirkkaus