🇳🇴 🇬🇧 🇩🇪 🇨🇿 🇫🇮

Meteor over Innbygda 2025-11-18 05:30:31 UTC

KML-fil

Kartet viser peilingene for meteoren. De lysere linjene viser retningene fra observasjonsstedene for meteorens tilsynekomst, og de mørkere linjene viser hvor den sist kunne sees. Den blå pila viser meteorens synlige ferd.

static map
height profile
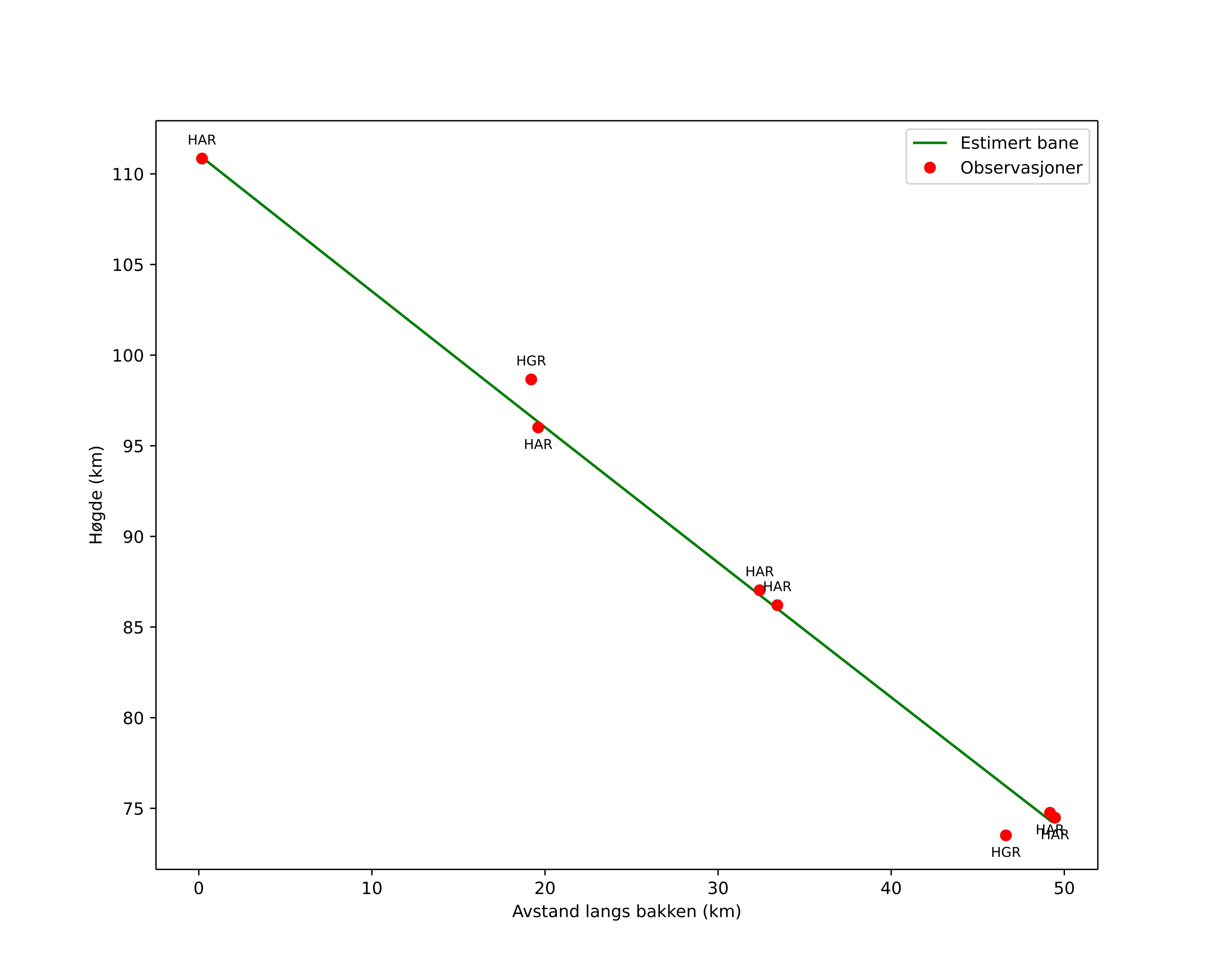
Meteorens atmosfæriske bane:
Starthøgde: 111,1 km
Slutthøgde: 74,2 km
Startposisjon: 61,443N 11,396E
Sluttposisjon: 61,157N 12,100E
Retning: 130,0°
Fallvinkel: 36,8°
Inngangshastighet: 30,0 km/s
Radiantens rektascensjon: 02:57 (44,4°)
Radiantens deklinasjon: 48,4°
Meteorsverm: sporadisk
Meteoroidens baneelement:
Perihelavstand: 0,619 AU
Eksentrisitet: 0,926
Inklinasjon: 25,3°
Knutelengde: 235,8°
Perihelargument: 257,2°
Midlere anomali: 358,4°
Epoke: 2025 NOV 18 05:30:31
orbit plot

Ikke-interaktivt plott

position vs time
speed and acceleration

Hagar (HGR) cam3


gnomonic
Videoer
• Gnomonisk
• Gnomonisk med koordinater
• Original
• Original (HEVC)
• Original med koordinater
Bilder
• Gnomonisk
• Gnomonisk med koordinater
• Original
• Original med koordinater
Tekstfiler
• Deteksjon
• Observasjon
• Koordinater
• Logg
Lysstyrke

Harestua (HAR) cam1


gnomonic
Videoer
• Gnomonisk
• Gnomonisk med koordinater
• Original
• Original (HEVC)
• Original med koordinater
Bilder
• Gnomonisk
• Gnomonisk med koordinater
• Original
• Original med koordinater
Tekstfiler
• Deteksjon
• Observasjon
• Koordinater
• Logg
Lysstyrke

Harestua (HAR) cam2


gnomonic
Videoer
• Gnomonisk
• Gnomonisk med koordinater
• Original
• Original (HEVC)
• Original med koordinater
Bilder
• Gnomonisk
• Gnomonisk med koordinater
• Original
• Original med koordinater
Tekstfiler
• Deteksjon
• Observasjon
• Koordinater
• Logg
Lysstyrke