🇳🇴 🇬🇧 🇩🇪 🇨🇿 🇫🇮

Meteor über Vegaquemada 2025-11-18 19:26:55 UTC

KML-Datei

Die Karte zeigt die Peilungen für den Meteor. Die helleren Linien zeigen die Richtungen von den Beobachtungsorten beim Erscheinen des Meteors, und die dunkleren Linien, wo er zuletzt gesehen wurde. Der blaue Pfeil zeigt die sichtbare Bahn des Meteors.

static map
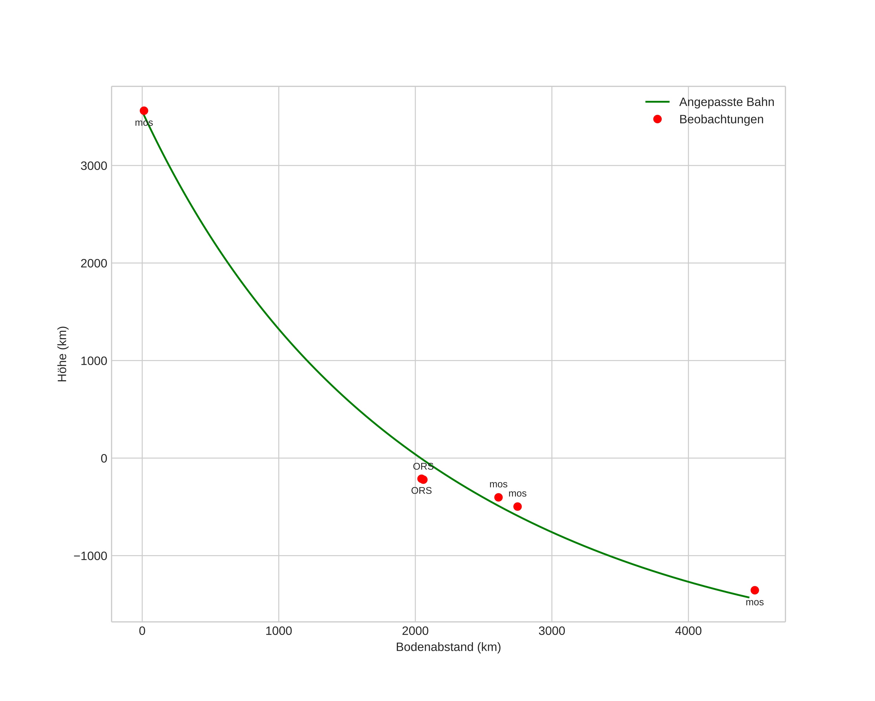
height profile
Atmosphärische Bahn des Meteors:
Anfangshöhe: 3554,3 km
Endhöhe: -1429,6 km
Startposition: 70,800N 49,313E
Endposition: 42,034N -7,457E
Richtung: 255,2°
Neigungswinkel: 48,3°
Eintrittsgeschwindigkeit: 1449,4 km/s
Rektaszension des Radianten: 08:03 (121,0°)
Deklination des Radianten: 49,6°
Meteorstrom: sporadisch
Bahnelemente des Meteoroiden:
Periheldistanz: 0,856 AU
Exzentrizität: 1966,591
Inklination: 146,0°
Länge des aufsteigenden Knotens: 236,4°
Argument des Perihels: 210,0°
Mittlere Anomalie: -64905,8°
Epoche: 2025 NOV 18 19:26:55
orbit plot

Nicht-interaktives Diagramm

position vs time
speed and acceleration

Moss (mos) cam2


gnomonic
Videos
• Gnomonisch
• Gnomonisch mit Koordinaten
• Original
• Original (HEVC)
• Original mit Koordinaten
Bilder
• Gnomonisch
• Gnomonisch mit Koordinaten
• Original
• Original mit Koordinaten
Textdateien
• Erkennung
• Beobachtung
• Koordinaten
• Protokoll
Helligkeit

Moss (mos) cam6


gnomonic
Videos
• Gnomonisch
• Gnomonisch mit Koordinaten
• Original
• Original (HEVC)
• Original mit Koordinaten
Bilder
• Gnomonisch
• Gnomonisch mit Koordinaten
• Original
• Original mit Koordinaten
Textdateien
• Erkennung
• Beobachtung
• Koordinaten
• Protokoll
Helligkeit

Orsta (ORS) cam7


gnomonic
Videos
• Gnomonisch
• Gnomonisch mit Koordinaten
• Original
• Original mit Koordinaten
Bilder
• Gnomonisch
• Gnomonisch mit Koordinaten
• Original
• Original mit Koordinaten
Textdateien
• Erkennung
• Beobachtung
• Koordinaten
• Protokoll
Helligkeit