🇳🇴 🇬🇧 🇩🇪 🇨🇿 🇫🇮

Meteor über Gvarv 2025-11-18 20:28:56 UTC

KML-Datei  |  Interaktive Karte

Die Karte zeigt die Peilungen für den Meteor. Die helleren Linien zeigen die Richtungen von den Beobachtungsorten beim Erscheinen des Meteors, und die dunkleren Linien, wo er zuletzt gesehen wurde. Der blaue Pfeil zeigt die sichtbare Bahn des Meteors.

static map
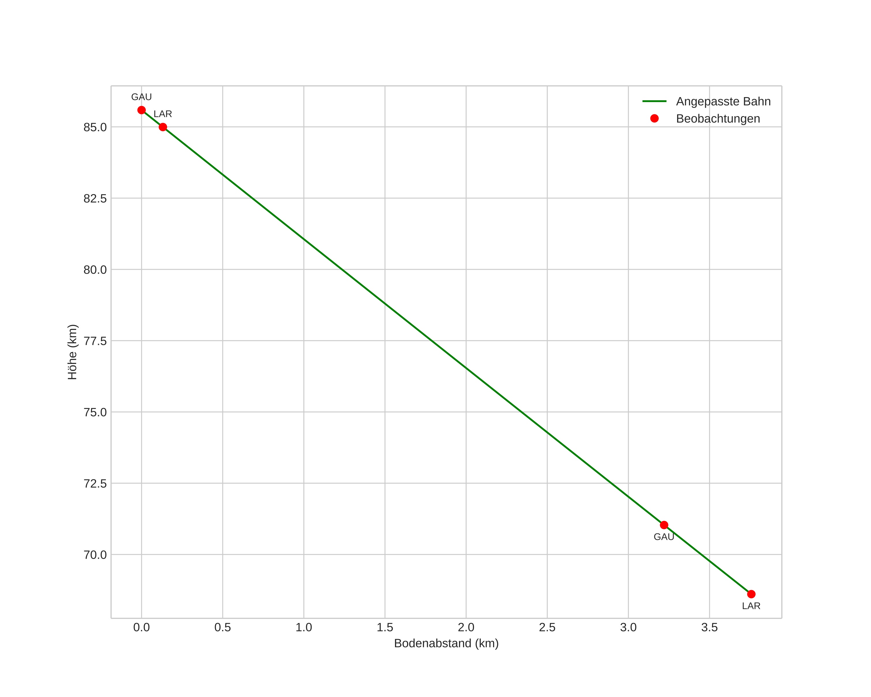
height profile
Atmosphärische Bahn des Meteors:
Anfangshöhe: 87,4 km
Endhöhe: 69,0 km
Startposition: 59,444N 9,069E
Endposition: 59,441N 9,140E
Richtung: 95,2°
Neigungswinkel: 77,6°
Eintrittsgeschwindigkeit: 18,7 km/s
Rektaszension des Radianten: 23:05 (346,3°)
Deklination des Radianten: 57,3°
Meteorstrom: sporadisch
Bahnelemente des Meteoroiden:
Periheldistanz: 0,937 AU
Exzentrizität: 0,615
Inklination: 19,6°
Länge des aufsteigenden Knotens: 236,4°
Argument des Perihels: 210,2°
Mittlere Anomalie: 354,1°
Epoche: 2025 NOV 18 20:28:56
orbit plot

Nicht-interaktives Diagramm | Interaktives Diagramm

position vs time
speed and acceleration

Gaustatoppen (GAU) cam7


gnomonic
Videos
• Gnomonisch
• Gnomonisch mit Koordinaten
• Original
• Original mit Koordinaten
Bilder
• Gnomonisch
• Gnomonisch mit Koordinaten
• Original
• Original mit Koordinaten
Textdateien
• Erkennung
• Beobachtung
• Koordinaten
• Protokoll
Helligkeit

Larvik (LAR) cam6


gnomonic
Videos
• Gnomonisch
• Gnomonisch mit Koordinaten
• Original
• Original mit Koordinaten
Bilder
• Gnomonisch
• Gnomonisch mit Koordinaten
• Original
• Original mit Koordinaten
Textdateien
• Erkennung
• Beobachtung
• Koordinaten
• Protokoll
Helligkeit