🇳🇴 🇬🇧 🇩🇪 🇨🇿 🇫🇮

Meteor over Skagen 2025-11-18 22:00:37 UTC

KML-fil  |  Interaktivt kart

Kartet viser peilingene for meteoren. De lysere linjene viser retningene fra observasjonsstedene for meteorens tilsynekomst, og de mørkere linjene viser hvor den sist kunne sees. Den blå pila viser meteorens synlige ferd.

static map
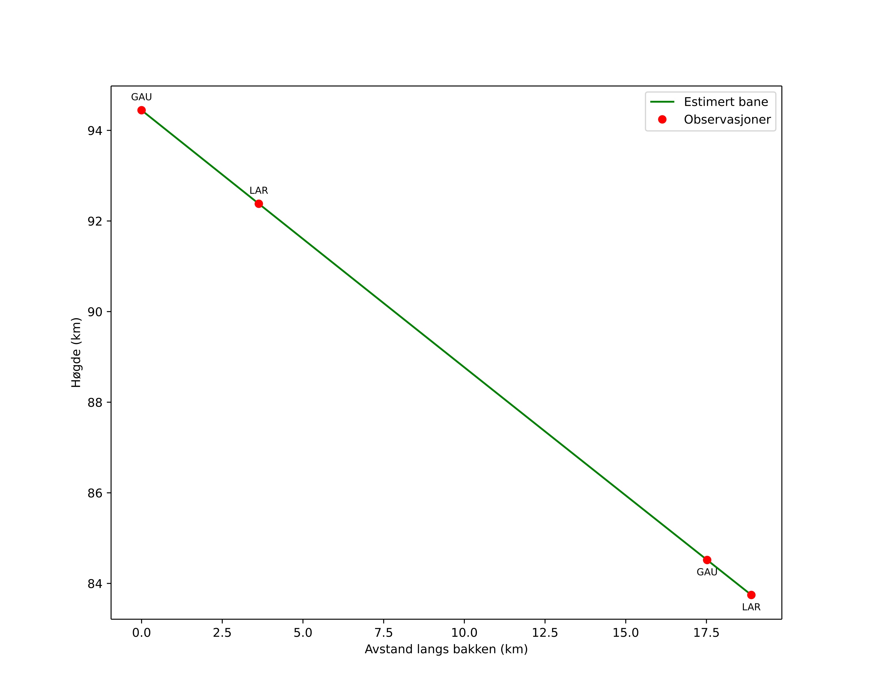
height profile
Meteorens atmosfæriske bane:
Starthøgde: 95,3 km
Slutthøgde: 83,8 km
Startposisjon: 58,217N 10,582E
Sluttposisjon: 58,245N 10,239E
Retning: 278,7°
Fallvinkel: 29,5°
Inngangshastighet: 60,1 km/s
Radiantens rektascensjon: 07:01 (105,3°)
Radiantens deklinasjon: 20,0°
Meteorsverm: sporadisk
Meteoroidens baneelement:
Perihelavstand: 0,104 AU
Eksentrisitet: 0,997
Inklinasjon: 168,4°
Knutelengde: 56,4°
Perihelargument: 142,3°
Midlere anomali: 359,9°
Epoke: 2025 NOV 18 22:00:37
orbit plot

Ikke-interaktivt plott | Interaktivt plott

position vs time
speed and acceleration

Gaustatoppen (GAU) cam3


gnomonic
Videoer
• Gnomonisk
• Gnomonisk med koordinater
• Original
• Original med koordinater
Bilder
• Gnomonisk
• Gnomonisk med koordinater
• Original
• Original med koordinater
Tekstfiler
• Deteksjon
• Observasjon
• Koordinater
• Logg
Lysstyrke

Larvik (LAR) cam4


gnomonic
Videoer
• Gnomonisk
• Gnomonisk med koordinater
• Original
• Original med koordinater
Bilder
• Gnomonisk
• Gnomonisk med koordinater
• Original
• Original med koordinater
Tekstfiler
• Deteksjon
• Observasjon
• Koordinater
• Logg
Lysstyrke