🇳🇴 🇬🇧 🇩🇪 🇨🇿 🇫🇮

Meteor over Fagerstrand 2025-11-19 02:45:59 UTC

KML-fil  |  Interaktivt kart

Kartet viser peilingene for meteoren. De lysere linjene viser retningene fra observasjonsstedene for meteorens tilsynekomst, og de mørkere linjene viser hvor den sist kunne sees. Den blå pila viser meteorens synlige ferd.

static map
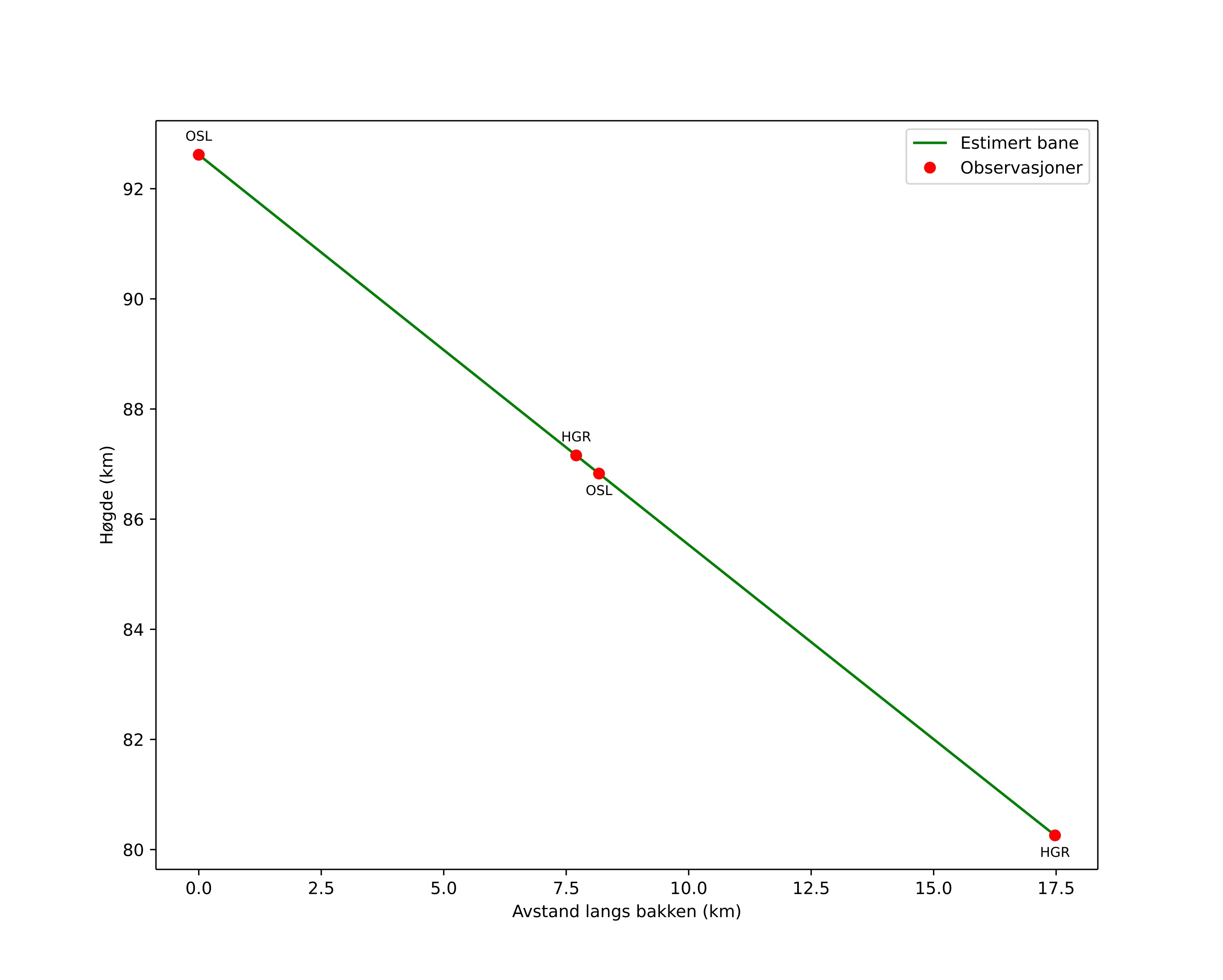
height profile
Meteorens atmosfæriske bane:
Starthøgde: 88,3 km
Slutthøgde: 80,4 km
Startposisjon: 59,669N 10,410E
Sluttposisjon: 59,716N 10,579E
Retning: 60,8°
Fallvinkel: 36,1°
Inngangshastighet: 24,4 km/s
Radiantens rektascensjon: 04:00 (60,0°)
Radiantens deklinasjon: 14,7°
Meteorsverm: Sørlige tauridene
Meteoroidens baneelement:
Perihelavstand: 0,527 AU
Eksentrisitet: 0,708
Inklinasjon: 4,4°
Knutelengde: 56,7°
Perihelargument: 97,2°
Midlere anomali: 341,0°
Epoke: 2025 NOV 19 02:45:59
orbit plot

Ikke-interaktivt plott | Interaktivt plott

position vs time
speed and acceleration

Hagar (HGR) cam5


gnomonic
Videoer
• Gnomonisk
• Gnomonisk med koordinater
• Original
• Original med koordinater
Bilder
• Gnomonisk
• Gnomonisk med koordinater
• Original
• Original med koordinater
Tekstfiler
• Deteksjon
• Observasjon
• Koordinater
• Logg
Lysstyrke

Voksenlia (OSL) cam7


gnomonic
Videoer
• Gnomonisk
• Gnomonisk med koordinater
• Original
• Original med koordinater
Bilder
• Gnomonisk
• Gnomonisk med koordinater
• Original
• Original med koordinater
Tekstfiler
• Deteksjon
• Observasjon
• Koordinater
• Logg
Lysstyrke