🇳🇴 🇬🇧 🇩🇪 🇨🇿 🇫🇮

Meteor, poloha: Fagerstrand 2025-11-19 02:45:59 UTC

Soubor KML  |  Interaktivní mapa

Mapa zobrazuje dráhy meteoru. Světlejší čáry ukazují směry od pozorovacích stanic při objevení se meteoru a tmavší čáry, kde byl naposledy viděn. Modrá šipka značí viditelnou dráhu meteoru.

static map
height profile
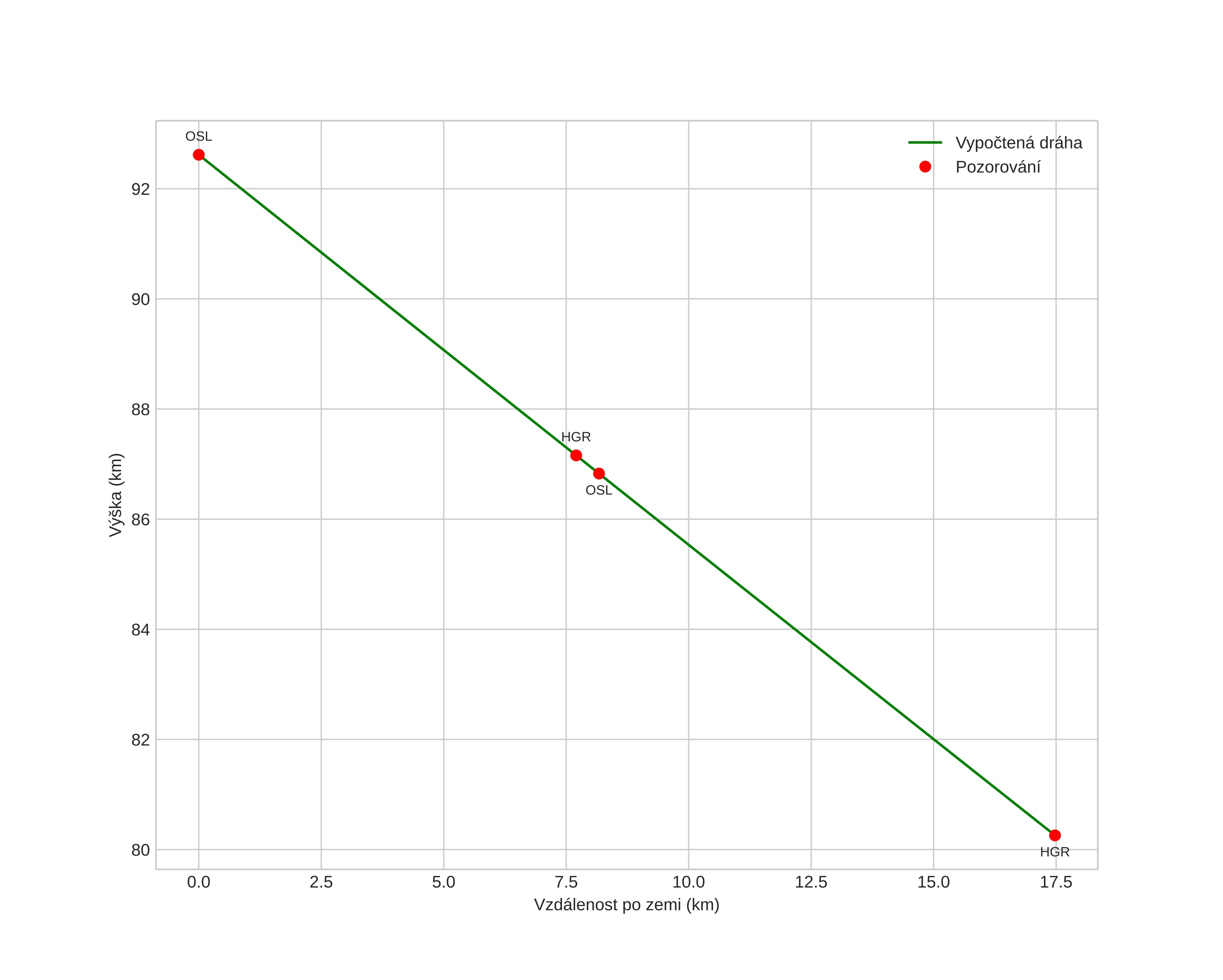
Atmosférická dráha meteoru:
Počáteční výška: 88,3 km
Konečná výška: 80,4 km
Počáteční poloha: 59,669N 10,410E
Konečná poloha: 59,716N 10,579E
Směr: 60,8°
Sklon: 36,1°
Vstupní rychlost: 24,4 km/s
Rektascenze radiantu: 04:00 (60,0°)
Deklinace radiantu: 14,7°
Meteorický roj: Jižní Tauridy
Elementy dráhy meteoroidu:
Vzdálenost v periheliu: 0,527 AU
Excentricita: 0,708
Sklon dráhy: 4,4°
Délka vzestupného uzlu: 56,7°
Argument perihelia: 97,2°
Střední anomálie: 341,0°
Epocha: 2025 NOV 19 02:45:59
orbit plot

Neinteraktivní graf | Interaktivní graf

position vs time
speed and acceleration