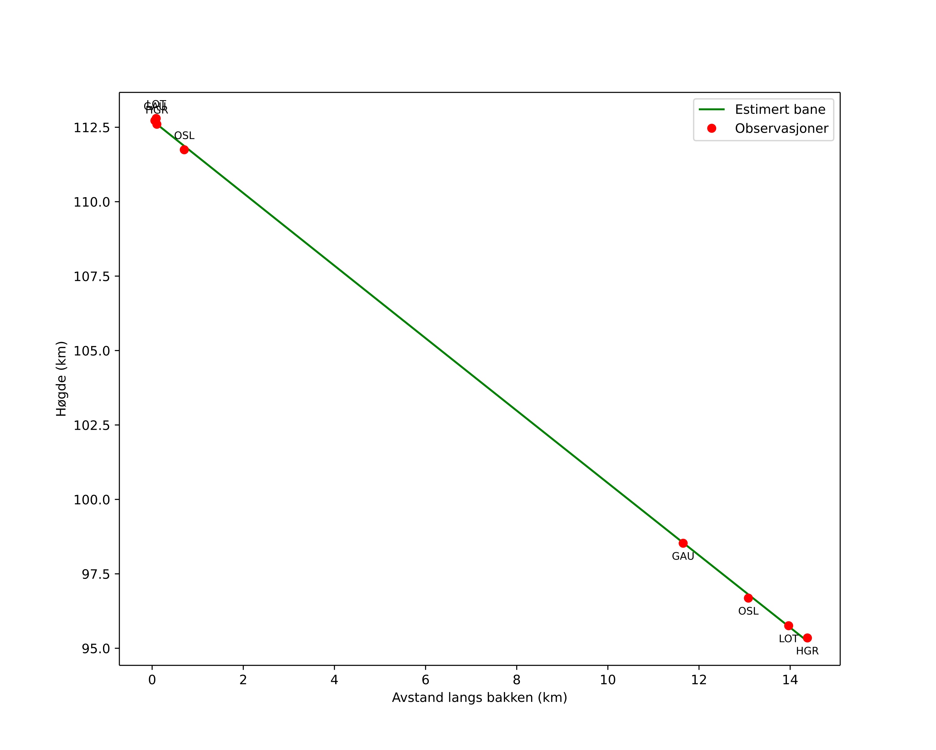
Atmosférická dráha meteoru:
| Počátečnà výška: | 113,0 km |
| Konečná výška: | 95,5 km |
| Počátečnà poloha: | 60,185N 8,667E |
| Konečná poloha: | 60,305N 8,550E |
| Směr: | 334,0° |
| Sklon: | 49,8° |
| VstupnĂ rychlost: | 71,7 km/s |
| Rektascenze radiantu: | 10:23 (156,0°) |
| Deklinace radiantu: | 21,8° |
| MeteorickĂ˝ roj: | Leonidy |
|
Elementy dráhy meteoroidu:
| Vzdálenost v periheliu: | 0,982 AU |
| Excentricita: | 0,927 |
| Sklon dráhy: | 161,0° |
| Délka vzestupného uzlu: | 236,8° |
| Argument perihelia: | 170,7° |
| Střednà anomálie: | 0,1° |
| Epocha: | 2025 NOV 19 04:46:41 |
|