🇳🇴 🇬🇧 🇩🇪 🇨🇿 🇫🇮

Meteor, poloha: Ă…l 2025-11-19 04:46:41 UTC

Soubor KML

Mapa zobrazuje dráhy meteoru. Světlejší čáry ukazují směry od pozorovacích stanic při objevení se meteoru a tmavší čáry, kde byl naposledy viděn. Modrá šipka značí viditelnou dráhu meteoru.

static map
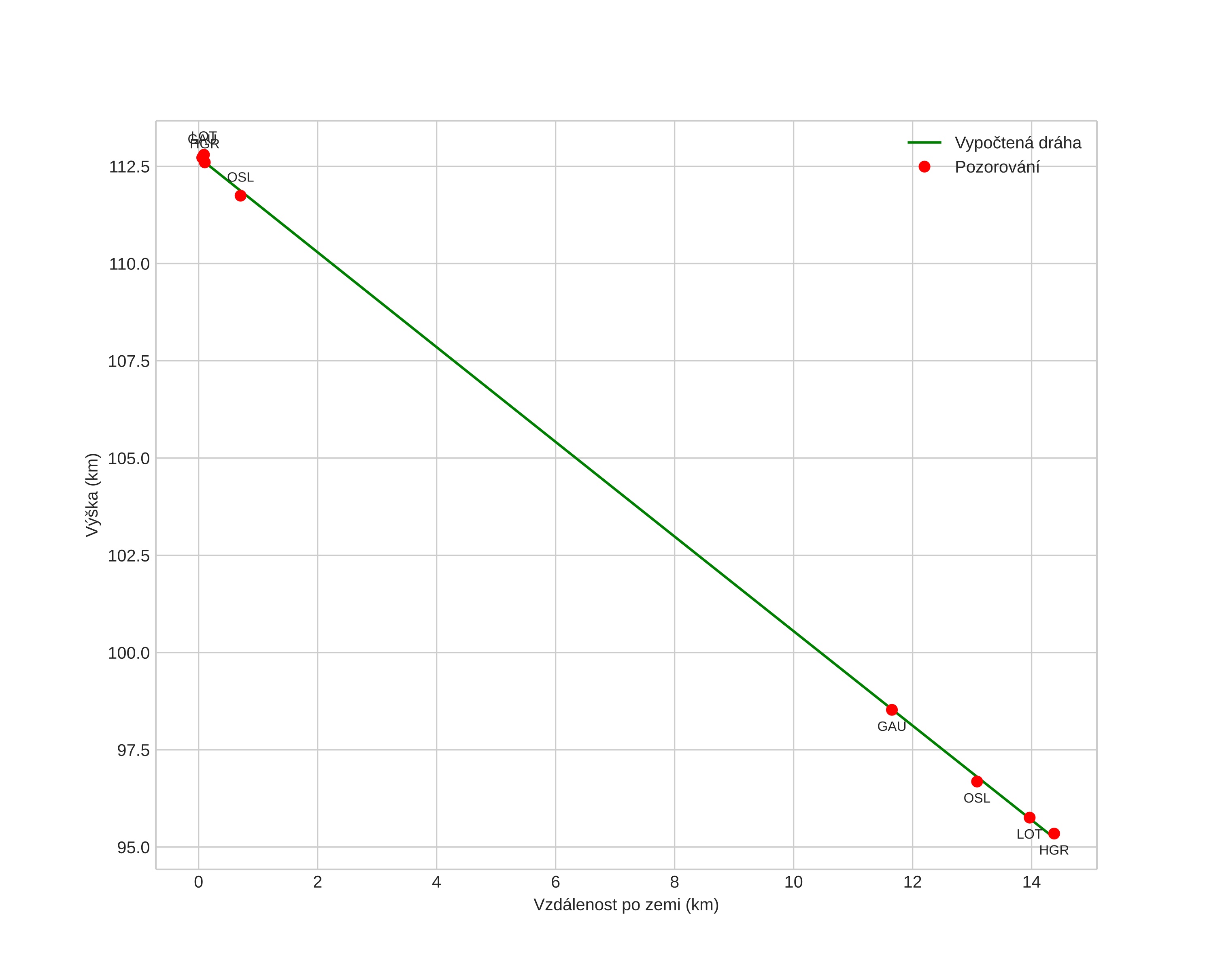
height profile
Atmosférická dráha meteoru:
Počáteční výška: 112,7 km
Konečná výška: 95,3 km
Počáteční poloha: 60,187N 8,664E
Konečná poloha: 60,304N 8,558E
Směr: 336,0°
Sklon: 50,5°
VstupnĂ­ rychlost: 71,9 km/s
Rektascenze radiantu: 10:17 (154,4°)
Deklinace radiantu: 22,2°
MeteorickĂ˝ roj: Leonidy
Elementy dráhy meteoroidu:
Vzdálenost v periheliu: 0,987 AU
Excentricita: 0,946
Sklon dráhy: 161,3°
Délka vzestupného uzlu: 236,8°
Argument perihelia: 175,9°
Střední anomálie: 0,0°
Epocha: 2025 NOV 19 04:46:41
orbit plot

NeinteraktivnĂ­ graf

position vs time
speed and acceleration

Gaustatoppen (GAU) cam6


gnomonic
Videa
• Gnomonická
• Gnomonická se souřadnicemi
• Původní
• Původní (HEVC)
• Původní se souřadnicemi
Obrázky
• Gnomonická
• Gnomonická se souřadnicemi
• Původní
• Původní se souřadnicemi
Textové soubory
• Detekce
• Pozorování
• Souřadnice
• Protokol
Jasnost

Hagar (HGR) cam5


gnomonic
Videa
• Gnomonická
• Gnomonická se souřadnicemi
• Původní
• Původní (HEVC)
• Původní se souřadnicemi
Obrázky
• Gnomonická
• Gnomonická se souřadnicemi
• Původní
• Původní se souřadnicemi
Textové soubory
• Detekce
• Pozorování
• Souřadnice
• Protokol
Jasnost

Loten (LOT) cam4


gnomonic
Videa
• Gnomonická
• Gnomonická se souřadnicemi
• Původní
• Původní (HEVC)
• Původní se souřadnicemi
Obrázky
• Gnomonická
• Gnomonická se souřadnicemi
• Původní
• Původní se souřadnicemi
Textové soubory
• Detekce
• Pozorování
• Souřadnice
• Protokol
Jasnost

Voksenlia (OSL) cam2


gnomonic
Videa
• Gnomonická
• Gnomonická se souřadnicemi
• Původní
• Původní (HEVC)
• Původní se souřadnicemi
Obrázky
• Gnomonická
• Gnomonická se souřadnicemi
• Původní
• Původní se souřadnicemi
Textové soubory
• Detekce
• Pozorování
• Souřadnice
• Protokol
Jasnost