🇳🇴 🇬🇧 🇩🇪 🇨🇿 🇫🇮

Meteor over Kongsvinger 2025-11-19 05:02:36 UTC

KML-fil  |  Interaktivt kart

Kartet viser peilingene for meteoren. De lysere linjene viser retningene fra observasjonsstedene for meteorens tilsynekomst, og de mørkere linjene viser hvor den sist kunne sees. Den blå pila viser meteorens synlige ferd.

static map
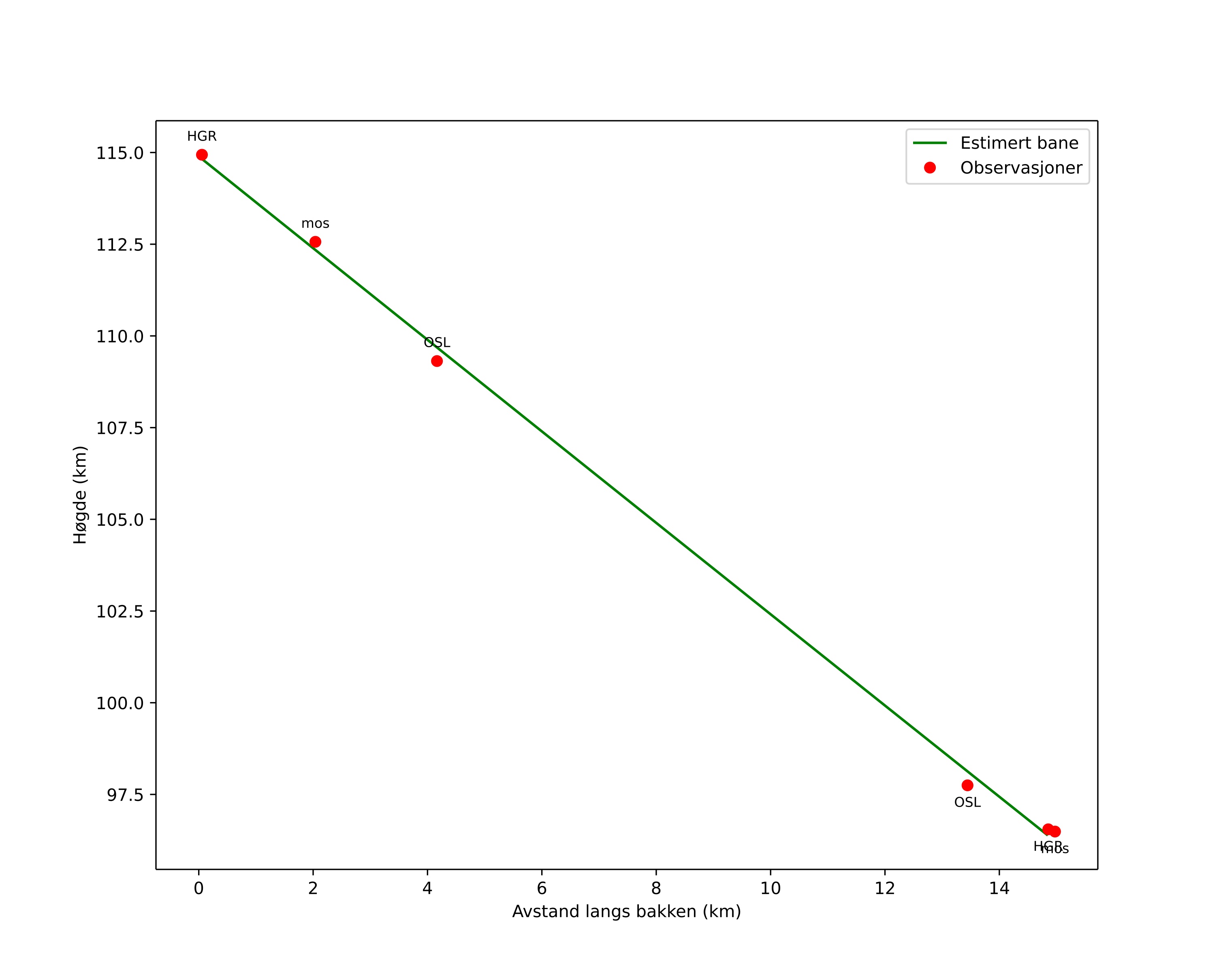
height profile
Meteorens atmosfæriske bane:
Starthøgde: 116,1 km
Slutthøgde: 95,7 km
Startposisjon: 60,060N 12,153E
Sluttposisjon: 60,203N 12,088E
Retning: 347,4°
Fallvinkel: 51,3°
Inngangshastighet: 73,4 km/s
Radiantens rektascensjon: 10:16 (154,1°)
Radiantens deklinasjon: 21,6°
Meteorsverm: Leonidene
Meteoroidens baneelement:
Perihelavstand: 0,987 AU
Eksentrisitet: 1,076
Inklinasjon: 162,8°
Knutelengde: 236,8°
Perihelargument: 176,4°
Midlere anomali: 0,1°
Epoke: 2025 NOV 19 05:02:36
orbit plot

Ikke-interaktivt plott | Interaktivt plott

position vs time
speed and acceleration

Hagar (HGR) cam6


gnomonic
Videoer
• Gnomonisk
• Gnomonisk med koordinater
• Original
• Original med koordinater
Bilder
• Gnomonisk
• Gnomonisk med koordinater
• Original
• Original med koordinater
Tekstfiler
• Deteksjon
• Observasjon
• Koordinater
• Logg
Lysstyrke

Moss (mos) cam2


gnomonic
Videoer
• Gnomonisk
• Gnomonisk med koordinater
• Original
• Original med koordinater
Bilder
• Gnomonisk
• Gnomonisk med koordinater
• Original
• Original med koordinater
Tekstfiler
• Deteksjon
• Observasjon
• Koordinater
• Logg
Lysstyrke

Voksenlia (OSL) cam5


gnomonic
Videoer
• Gnomonisk
• Gnomonisk med koordinater
• Original
• Original med koordinater
Bilder
• Gnomonisk
• Gnomonisk med koordinater
• Original
• Original med koordinater
Tekstfiler
• Deteksjon
• Observasjon
• Koordinater
• Logg
Lysstyrke