🇳🇴 🇬🇧 🇩🇪 🇨🇿 🇫🇮

Meteor Kongsvingerin yllä 2025-11-19 05:02:36 UTC

KML-tiedosto

Kartta näyttää meteorin suuntahavainnot. Vaaleammat viivat näyttävät suunnat havaintoasemilta meteorin ilmestyessä, ja tummemmat viivat näyttävät, missä se viimeksi nähtiin. Sininen nuoli näyttää meteorin näkyvän lennon.

static map
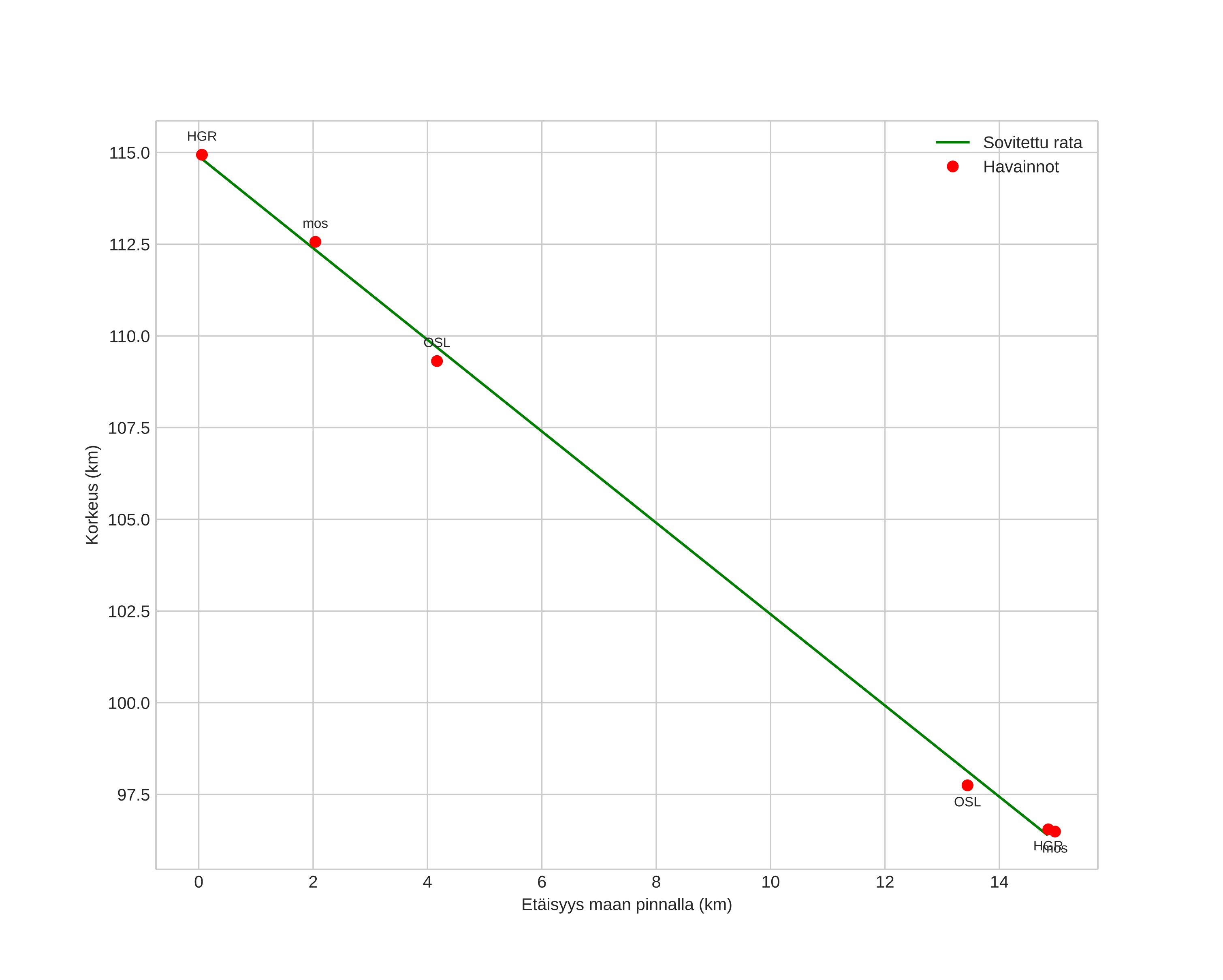
height profile
Meteorin ilmakehärata:
Alkukorkeus: 114,9 km
Loppukorkeus: 96,4 km
Alkupiste: 60,068N 12,159E
Loppupiste: 60,198N 12,101E
Suunta: 347,5°
Kallistuskulma: 51,3°
Tulonopeus: 73,0 km/s
Radiantin R,A,: 10:16 (154,1°)
Radiantin Dekl,: 21,6°
Meteoriparvi: Leonidit
Meteoroidin rataelementit:
Perihelietäisyys: 0,987 AU
Eksentrisyys: 1,039
Inklinaatio: 162,8°
Nousevan solmun pituus: 236,8°
Perihelin argumentti: 176,4°
Keskianomalia: 0,0°
Epookki: 2025 NOV 19 05:02:36
orbit plot

Ei-interaktiivinen kuvaaja

position vs time
speed and acceleration

Hagar (HGR) cam6


gnomonic
Videot:
• Gnomoninen
• Gnomoninen koordinaateilla
• Alkuperäinen
• Alkuperäinen (HEVC)
• Alkuperäinen koordinaateilla
Kuvat:
• Gnomoninen
• Gnomoninen koordinaateilla
• Alkuperäinen
• Alkuperäinen koordinaateilla
Tekstitiedostot:
• Havaintoraportti
• Observaatio
• Koordinaatit
• Loki
Kirkkaus

Moss (mos) cam2


gnomonic
Videot:
• Gnomoninen
• Gnomoninen koordinaateilla
• Alkuperäinen
• Alkuperäinen (HEVC)
• Alkuperäinen koordinaateilla
Kuvat:
• Gnomoninen
• Gnomoninen koordinaateilla
• Alkuperäinen
• Alkuperäinen koordinaateilla
Tekstitiedostot:
• Havaintoraportti
• Observaatio
• Koordinaatit
• Loki
Kirkkaus

Voksenlia (OSL) cam5


gnomonic
Videot:
• Gnomoninen
• Gnomoninen koordinaateilla
• Alkuperäinen
• Alkuperäinen (HEVC)
• Alkuperäinen koordinaateilla
Kuvat:
• Gnomoninen
• Gnomoninen koordinaateilla
• Alkuperäinen
• Alkuperäinen koordinaateilla
Tekstitiedostot:
• Havaintoraportti
• Observaatio
• Koordinaatit
• Loki
Kirkkaus