🇳🇴 🇬🇧 🇩🇪 🇨🇿 🇫🇮

Meteor, poloha: Drøbak 2025-11-19 17:01:38 UTC

Soubor KML

Mapa zobrazuje dráhy meteoru. Světlejší čáry ukazují směry od pozorovacích stanic při objevení se meteoru a tmavší čáry, kde byl naposledy viděn. Modrá šipka značí viditelnou dráhu meteoru.

static map
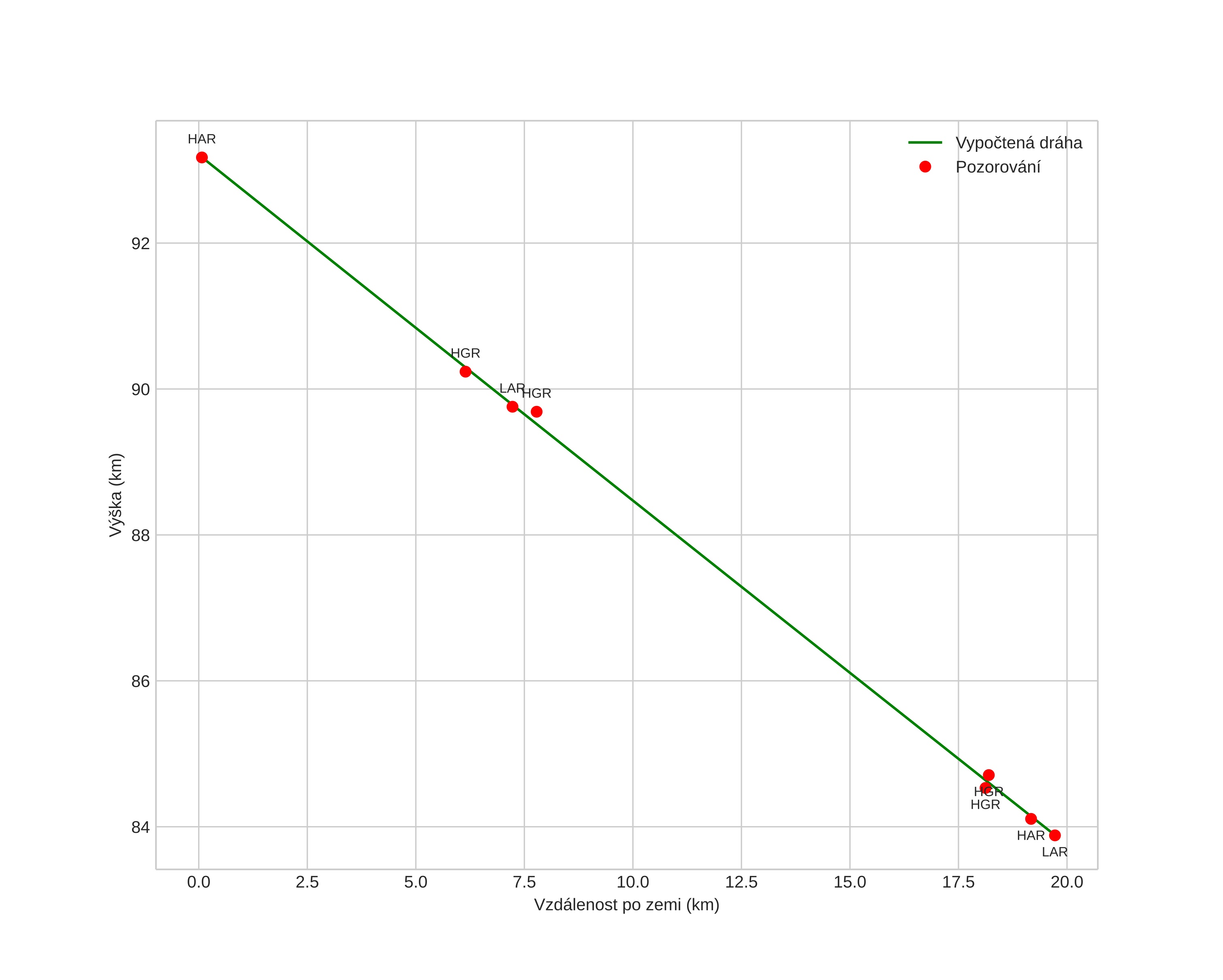
height profile
Atmosférická dráha meteoru:
Počáteční výška: 97,7 km
Konečná výška: 83,6 km
Počáteční poloha: 59,794N 11,095E
Konečná poloha: 59,687N 10,626E
Směr: 245,9°
Sklon: 26,0°
VstupnĂ­ rychlost: 32,2 km/s
Rektascenze radiantu: 04:12 (63,2°)
Deklinace radiantu: 32,5°
MeteorickĂ˝ roj: SevernĂ­ Tauridy
Elementy dráhy meteoroidu:
Vzdálenost v periheliu: 0,387 AU
Excentricita: 0,882
Sklon dráhy: 13,1°
Délka vzestupného uzlu: 237,3°
Argument perihelia: 287,3°
Střední anomálie: 353,3°
Epocha: 2025 NOV 19 17:01:38
orbit plot

NeinteraktivnĂ­ graf

position vs time
speed and acceleration

Hagar (HGR) cam4


gnomonic
Videa
• Gnomonická
• Gnomonická se souřadnicemi
• Původní
• Původní (HEVC)
• Původní se souřadnicemi
Obrázky
• Gnomonická
• Gnomonická se souřadnicemi
• Původní
• Původní se souřadnicemi
Textové soubory
• Detekce
• Pozorování
• Souřadnice
• Protokol
Jasnost

Hagar (HGR) cam5


gnomonic
Videa
• Gnomonická
• Gnomonická se souřadnicemi
• Původní
• Původní (HEVC)
• Původní se souřadnicemi
Obrázky
• Gnomonická
• Gnomonická se souřadnicemi
• Původní
• Původní se souřadnicemi
Textové soubory
• Detekce
• Pozorování
• Souřadnice
• Protokol
Jasnost

Harestua (HAR) cam7


gnomonic
Videa
• Gnomonická
• Gnomonická se souřadnicemi
• Původní
• Původní (HEVC)
• Původní se souřadnicemi
Obrázky
• Gnomonická
• Gnomonická se souřadnicemi
• Původní
• Původní se souřadnicemi
Textové soubory
• Detekce
• Pozorování
• Souřadnice
• Protokol
Jasnost

Larvik (LAR) cam6


gnomonic
Videa
• Gnomonická
• Gnomonická se souřadnicemi
• Původní
• Původní (HEVC)
• Původní se souřadnicemi
Obrázky
• Gnomonická
• Gnomonická se souřadnicemi
• Původní
• Původní se souřadnicemi
Textové soubory
• Detekce
• Pozorování
• Souřadnice
• Protokol
Jasnost