🇳🇴 🇬🇧 🇩🇪 🇨🇿 🇫🇮

Meteor over Bismo 2025-11-19 18:15:25 UTC

KML-fil  |  Interaktivt kart

Kartet viser peilingene for meteoren. De lysere linjene viser retningene fra observasjonsstedene for meteorens tilsynekomst, og de mørkere linjene viser hvor den sist kunne sees. Den blå pila viser meteorens synlige ferd.

static map
height profile
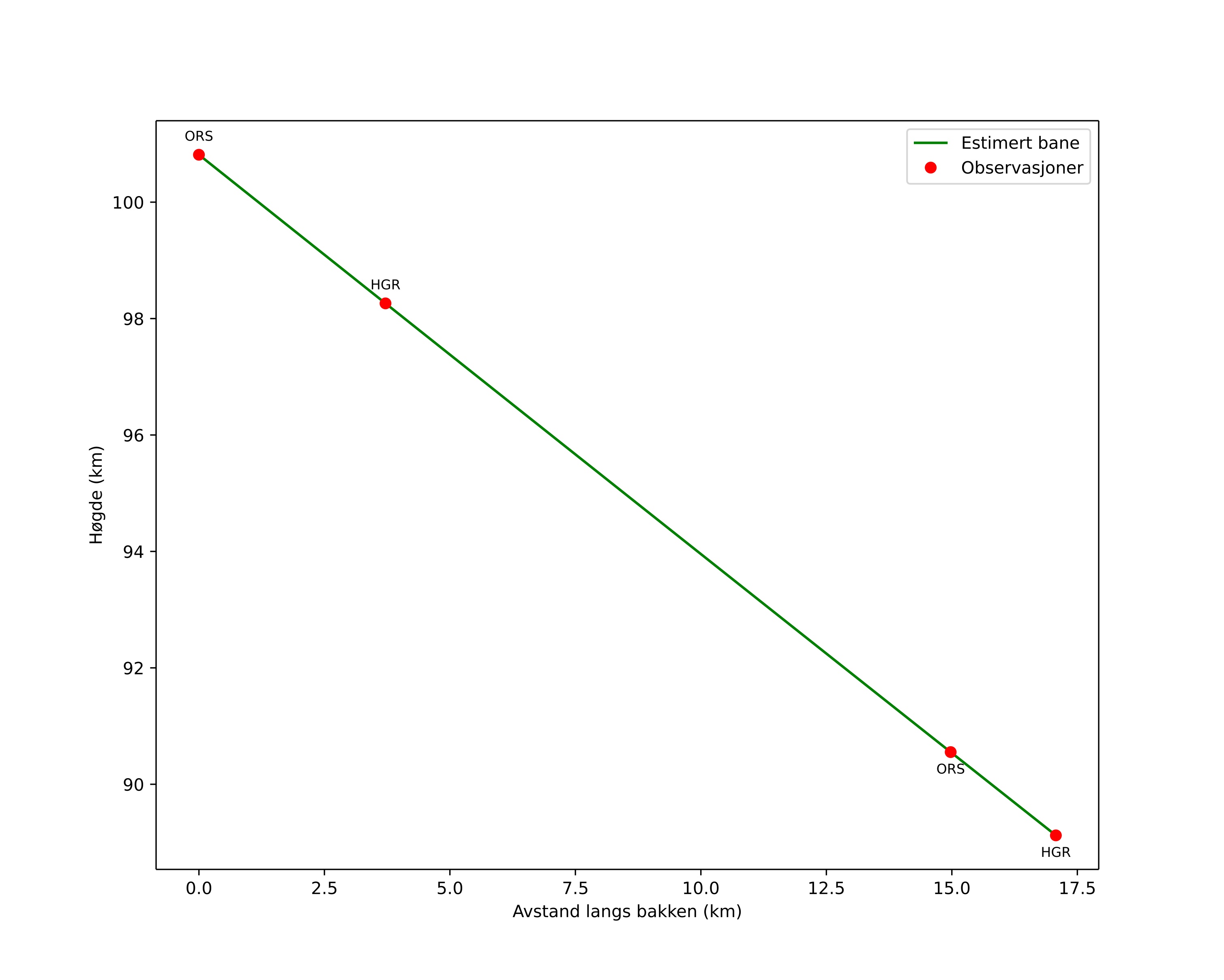
Meteorens atmosfæriske bane:
Starthøgde: 100,9 km
Slutthøgde: 89,5 km
Startposisjon: 61,668N 8,184E
Sluttposisjon: 61,544N 8,353E
Retning: 147,1°
Fallvinkel: 34,7°
Inngangshastighet: 51,8 km/s
Radiantens rektascensjon: 14:13 (213,5°)
Radiantens deklinasjon: 55,4°
Meteorsverm: sporadisk
Meteoroidens baneelement:
Perihelavstand: 0,942 AU
Eksentrisitet: 1,414
Inklinasjon: 78,8°
Knutelengde: 237,3°
Perihelargument: 156,9°
Midlere anomali: 4,1°
Epoke: 2025 NOV 19 18:15:25
orbit plot

Ikke-interaktivt plott | Interaktivt plott

position vs time
speed and acceleration

Hagar (HGR) cam1


gnomonic
Videoer
• Gnomonisk
• Gnomonisk med koordinater
• Original
• Original med koordinater
Bilder
• Gnomonisk
• Gnomonisk med koordinater
• Original
• Original med koordinater
Tekstfiler
• Deteksjon
• Observasjon
• Koordinater
• Logg
Lysstyrke

Orsta (ORS) cam6


gnomonic
Videoer
• Gnomonisk
• Gnomonisk med koordinater
• Original
• Original med koordinater
Bilder
• Gnomonisk
• Gnomonisk med koordinater
• Original
• Original med koordinater
Tekstfiler
• Deteksjon
• Observasjon
• Koordinater
• Logg
Lysstyrke