🇳🇴 🇬🇧 🇩🇪 🇨🇿 🇫🇮

Meteor über Rødberg 2025-11-19 19:22:29 UTC

KML-Datei

Die Karte zeigt die Peilungen für den Meteor. Die helleren Linien zeigen die Richtungen von den Beobachtungsorten beim Erscheinen des Meteors, und die dunkleren Linien, wo er zuletzt gesehen wurde. Der blaue Pfeil zeigt die sichtbare Bahn des Meteors.

static map
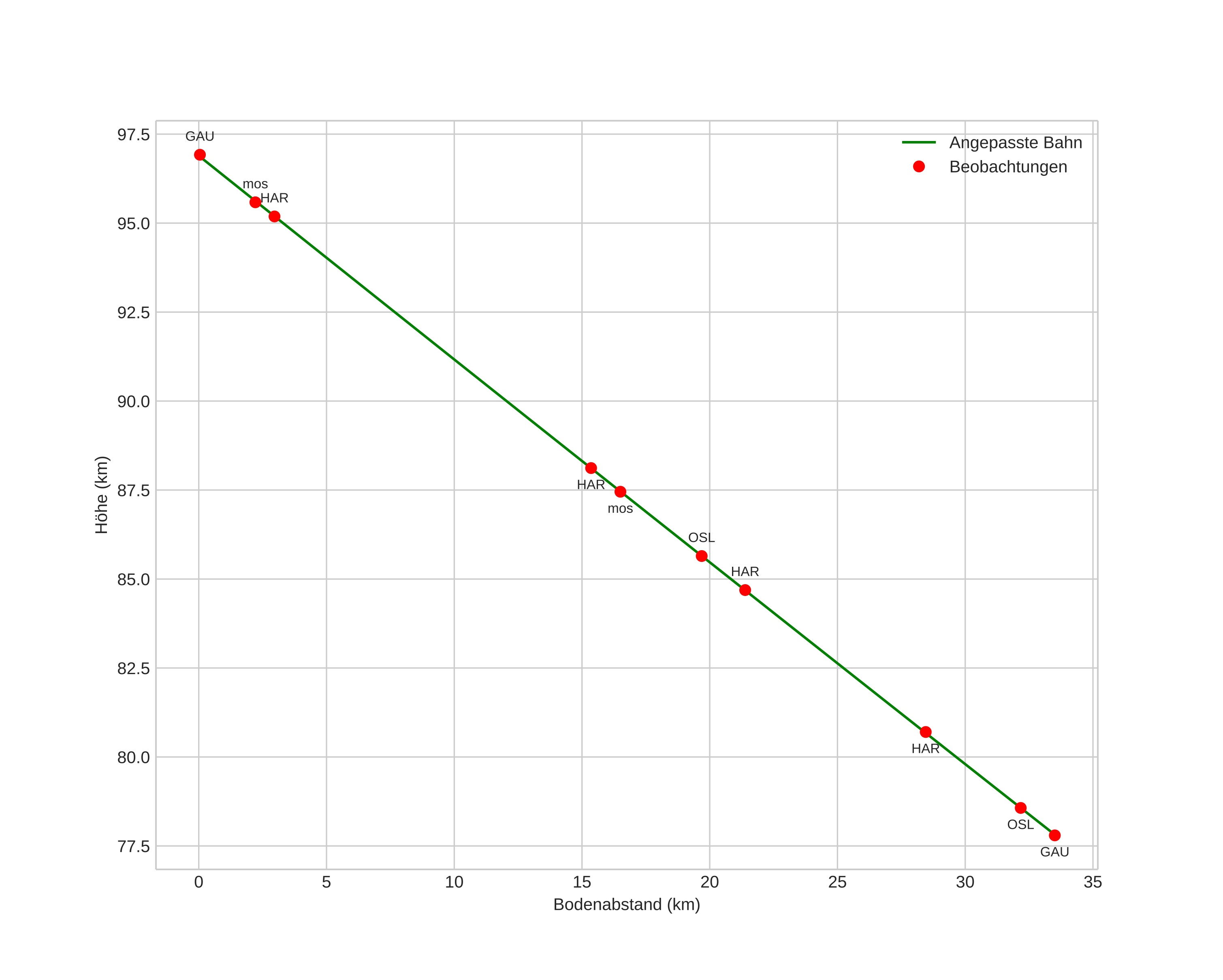
height profile
Atmosphärische Bahn des Meteors:
Anfangshöhe: 96,9 km
Endhöhe: 77,8 km
Startposition: 60,119N 9,658E
Endposition: 60,219N 9,086E
Richtung: 289,6°
Neigungswinkel: 29,7°
Eintrittsgeschwindigkeit: 26,4 km/s
Rektaszension des Radianten: 03:55 (58,9°)
Deklination des Radianten: 13,7°
Meteorstrom: Südliche Tauriden
Bahnelemente des Meteoroiden:
Periheldistanz: 0,532 AU
Exzentrizität: 0,782
Inklination: 5,3°
Länge des aufsteigenden Knotens: 57,4°
Argument des Perihels: 93,0°
Mittlere Anomalie: 348,6°
Epoche: 2025 NOV 19 19:22:29
orbit plot

Nicht-interaktives Diagramm

position vs time
speed and acceleration

Gaustatoppen (GAU) cam6


gnomonic
Videos
• Gnomonisch
• Gnomonisch mit Koordinaten
• Original
• Original (HEVC)
• Original mit Koordinaten
Bilder
• Gnomonisch
• Gnomonisch mit Koordinaten
• Original
• Original mit Koordinaten
Textdateien
• Erkennung
• Beobachtung
• Koordinaten
• Protokoll
Helligkeit

Harestua (HAR) cam5


gnomonic
Videos
• Gnomonisch
• Gnomonisch mit Koordinaten
• Original
• Original (HEVC)
• Original mit Koordinaten
Bilder
• Gnomonisch
• Gnomonisch mit Koordinaten
• Original
• Original mit Koordinaten
Textdateien
• Erkennung
• Beobachtung
• Koordinaten
• Protokoll
Helligkeit

Harestua (HAR) cam7


gnomonic
Videos
• Gnomonisch
• Gnomonisch mit Koordinaten
• Original
• Original (HEVC)
• Original mit Koordinaten
Bilder
• Gnomonisch
• Gnomonisch mit Koordinaten
• Original
• Original mit Koordinaten
Textdateien
• Erkennung
• Beobachtung
• Koordinaten
• Protokoll
Helligkeit

Moss (mos) cam6


gnomonic
Videos
• Gnomonisch
• Gnomonisch mit Koordinaten
• Original
• Original (HEVC)
• Original mit Koordinaten
Bilder
• Gnomonisch
• Gnomonisch mit Koordinaten
• Original
• Original mit Koordinaten
Textdateien
• Erkennung
• Beobachtung
• Koordinaten
• Protokoll
Helligkeit

Voksenlia (OSL) cam2


gnomonic
Videos
• Gnomonisch
• Gnomonisch mit Koordinaten
• Original
• Original (HEVC)
• Original mit Koordinaten
Bilder
• Gnomonisch
• Gnomonisch mit Koordinaten
• Original
• Original mit Koordinaten
Textdateien
• Erkennung
• Beobachtung
• Koordinaten
• Protokoll
Helligkeit