🇳🇴 🇬🇧 🇩🇪 🇨🇿 🇫🇮

Meteor over Skreia 2025-11-19 20:08:38 UTC

KML-fil

Kartet viser peilingene for meteoren. De lysere linjene viser retningene fra observasjonsstedene for meteorens tilsynekomst, og de mørkere linjene viser hvor den sist kunne sees. Den blå pila viser meteorens synlige ferd.

static map
height profile
wind profile
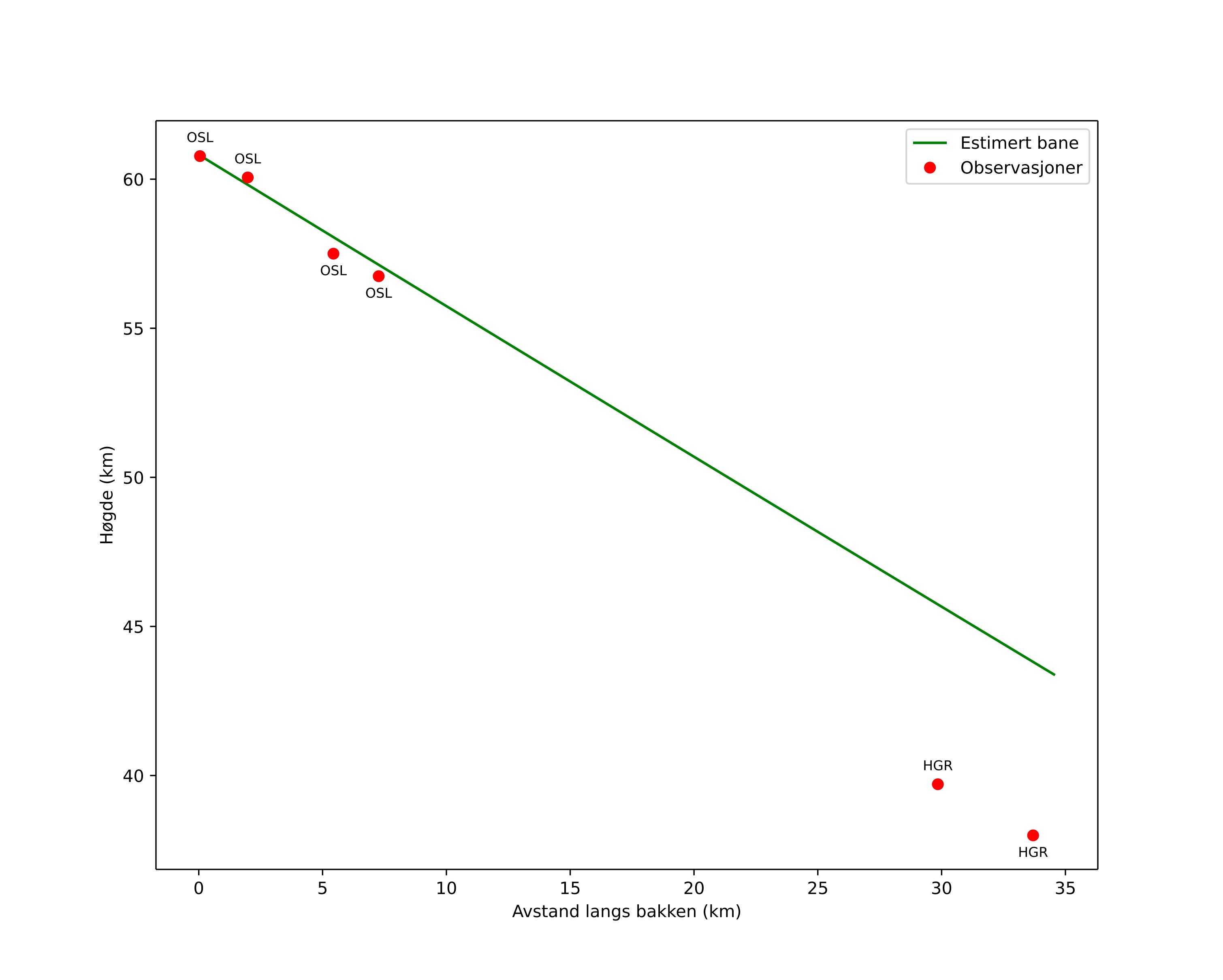
Meteorens atmosfæriske bane:
Starthøgde: 60,8 km
Slutthøgde: 43,4 km
Startposisjon: 60,354N 11,375E
Sluttposisjon: 60,533N 10,860E
Retning: 305,4°
Fallvinkel: 26,7°
Inngangshastighet: 15,8 km/s
Radiantens rektascensjon: 04:15 (63,9°)
Radiantens deklinasjon: -3,5°
Meteorsverm: sporadisk
Meteoroidens baneelement:
Perihelavstand: 0,730 AU
Eksentrisitet: 0,343
Inklinasjon: 8,7°
Knutelengde: 57,4°
Perihelargument: 91,4°
Midlere anomali: 307,3°
Epoke: 2025 NOV 19 20:08:38
orbit plot

Ikke-interaktivt plott

position vs time
speed and acceleration

Hagar (HGR) cam6


gnomonic
Videoer
• Gnomonisk
• Gnomonisk med koordinater
• Original
• Original (HEVC)
• Original med koordinater
Bilder
• Gnomonisk
• Gnomonisk med koordinater
• Original
• Original med koordinater
Tekstfiler
• Deteksjon
• Observasjon
• Koordinater
• Logg
Lysstyrke

Voksenlia (OSL) cam5


gnomonic
Videoer
• Gnomonisk
• Gnomonisk med koordinater
• Original
• Original (HEVC)
• Original med koordinater
Bilder
• Gnomonisk
• Gnomonisk med koordinater
• Original
• Original med koordinater
Tekstfiler
• Deteksjon
• Observasjon
• Koordinater
• Logg
Lysstyrke

Voksenlia (OSL) cam6


gnomonic
Videoer
• Gnomonisk
• Gnomonisk med koordinater
• Original
• Original (HEVC)
• Original med koordinater
Bilder
• Gnomonisk
• Gnomonisk med koordinater
• Original
• Original med koordinater
Tekstfiler
• Deteksjon
• Observasjon
• Koordinater
• Logg
Lysstyrke