🇳🇴 🇬🇧 🇩🇪 🇨🇿 🇫🇮

Meteor, poloha: Bismo 2025-11-20 00:50:37 UTC

Soubor KML  |  InteraktivnĂ­ mapa

Mapa zobrazuje dráhy meteoru. Světlejší čáry ukazují směry od pozorovacích stanic při objevení se meteoru a tmavší čáry, kde byl naposledy viděn. Modrá šipka značí viditelnou dráhu meteoru.

static map
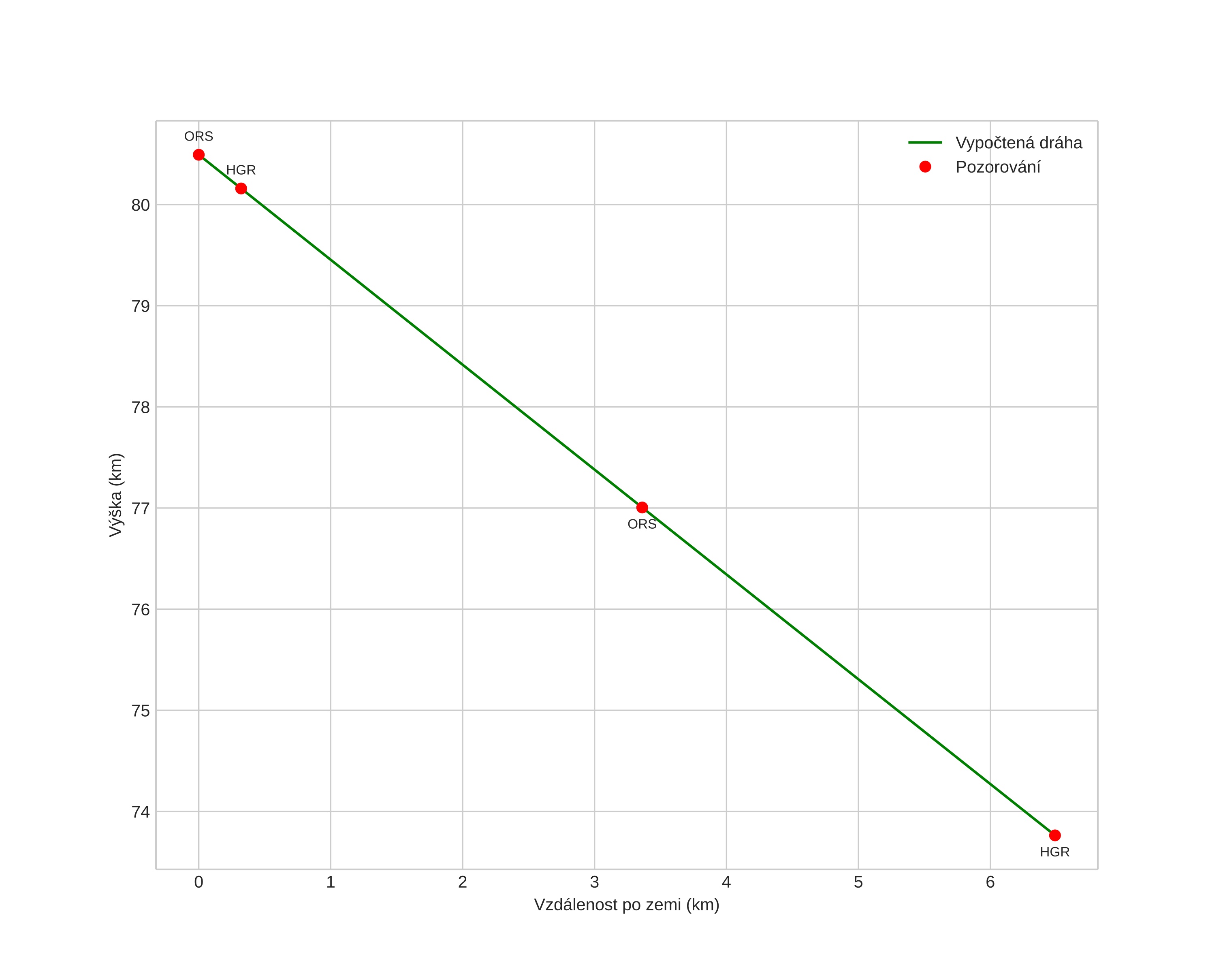
height profile
Atmosférická dráha meteoru:
Počáteční výška: 80,5 km
Konečná výška: 73,8 km
Počáteční poloha: 62,160N 8,112E
Konečná poloha: 62,209N 8,181E
Směr: 33,6°
Sklon: 45,9°
VstupnĂ­ rychlost: 23,3 km/s
Rektascenze radiantu: 03:35 (53,9°)
Deklinace radiantu: 18,3°
MeteorickĂ˝ roj: sporadickĂ˝
Elementy dráhy meteoroidu:
Vzdálenost v periheliu: 0,605 AU
Excentricita: 0,720
Sklon dráhy: 0,7°
Délka vzestupného uzlu: 57,8°
Argument perihelia: 85,5°
Střední anomálie: 346,0°
Epocha: 2025 NOV 20 00:50:37
orbit plot

NeinteraktivnĂ­ graf | InteraktivnĂ­ graf

position vs time
speed and acceleration

Hagar (HGR) cam1


gnomonic
Videa
• Gnomonická
• Gnomonická se souřadnicemi
• Původní
• Původní se souřadnicemi
Obrázky
• Gnomonická
• Gnomonická se souřadnicemi
• Původní
• Původní se souřadnicemi
Textové soubory
• Detekce
• Pozorování
• Souřadnice
• Protokol
Jasnost

Orsta (ORS) cam1


gnomonic
Videa
• Gnomonická
• Gnomonická se souřadnicemi
• Původní
• Původní se souřadnicemi
Obrázky
• Gnomonická
• Gnomonická se souřadnicemi
• Původní
• Původní se souřadnicemi
Textové soubory
• Detekce
• Pozorování
• Souřadnice
• Protokol
Jasnost