🇳🇴 🇬🇧 🇩🇪 🇨🇿 🇫🇮

Meteor over Malung 2025-11-20 02:55:13 UTC

KML-fil  |  Interaktivt kart

Kartet viser peilingene for meteoren. De lysere linjene viser retningene fra observasjonsstedene for meteorens tilsynekomst, og de mørkere linjene viser hvor den sist kunne sees. Den blå pila viser meteorens synlige ferd.

static map
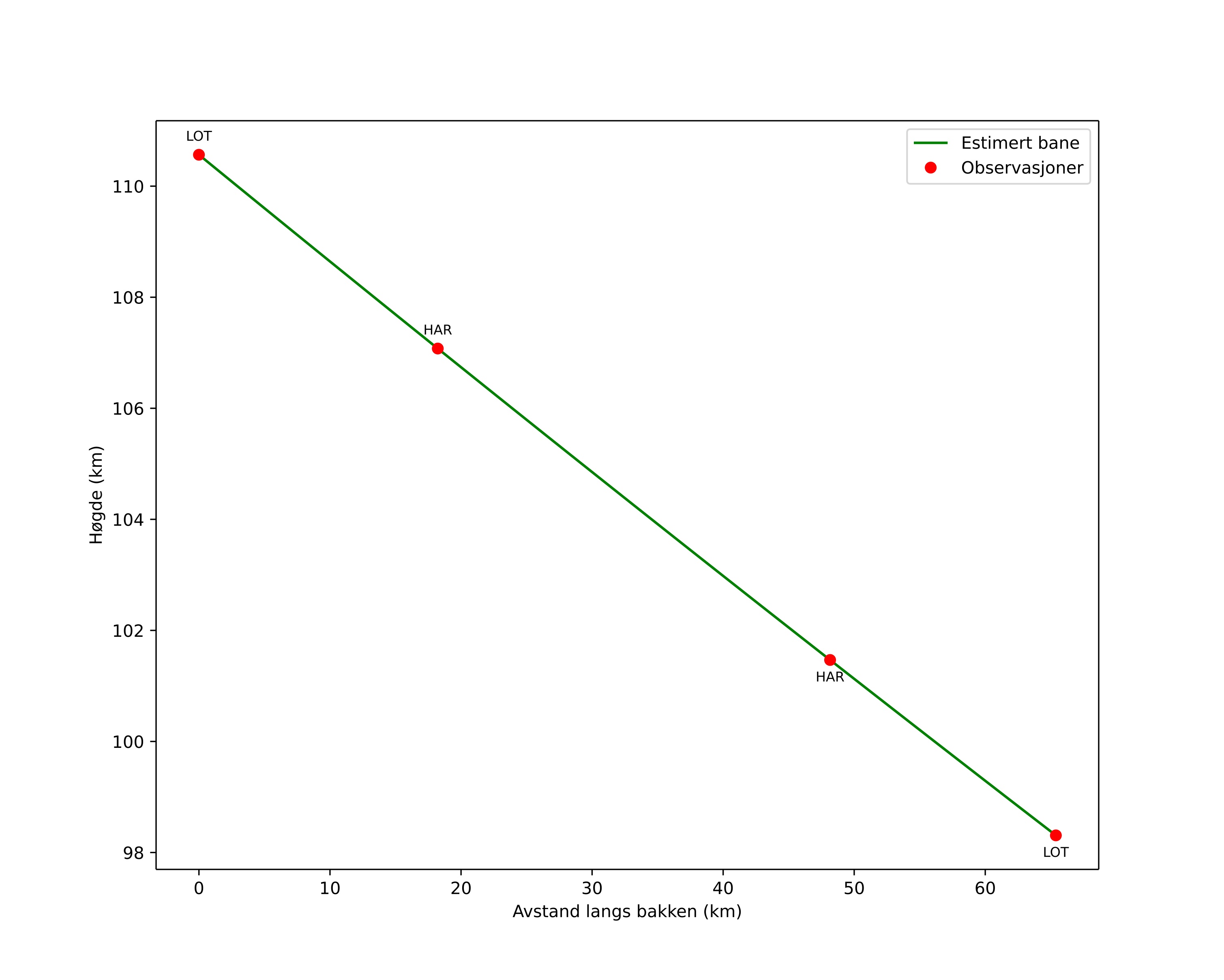
height profile
Meteorens atmosfæriske bane:
Starthøgde: 110,6 km
Slutthøgde: 98,3 km
Startposisjon: 60,300N 14,512E
Sluttposisjon: 60,660N 13,569E
Retning: 308,2°
Fallvinkel: 10,7°
Inngangshastighet: 67,3 km/s
Radiantens rektascensjon: 11:14 (168,7°)
Radiantens deklinasjon: -8,6°
Meteorsverm: sporadisk
Meteoroidens baneelement:
Perihelavstand: 0,559 AU
Eksentrisitet: 0,969
Inklinasjon: 153,4°
Knutelengde: 57,7°
Perihelargument: 276,7°
Midlere anomali: 0,5°
Epoke: 2025 NOV 20 02:55:13
orbit plot

Ikke-interaktivt plott | Interaktivt plott

position vs time
speed and acceleration

Harestua (HAR) cam2


gnomonic
Videoer
• Gnomonisk
• Gnomonisk med koordinater
• Original
• Original med koordinater
Bilder
• Gnomonisk
• Gnomonisk med koordinater
• Original
• Original med koordinater
Tekstfiler
• Deteksjon
• Observasjon
• Koordinater
• Logg
Lysstyrke

Loten (LOT) cam2


gnomonic
Videoer
• Gnomonisk
• Gnomonisk med koordinater
• Original
• Original med koordinater
Bilder
• Gnomonisk
• Gnomonisk med koordinater
• Original
• Original med koordinater
Tekstfiler
• Deteksjon
• Observasjon
• Koordinater
• Logg
Lysstyrke